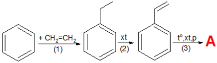
Polymer A trong suốt, được dùng làm hộp đựng thực phẩm, đồ chơi trẻ em, vỏ đĩa
Polymer A trong suốt, được dùng làm hộp đựng thực phẩm, đồ chơi trẻ em, vỏ đĩa CD, DVD,... Trong công nghiệp sản xuất chất dẻo, polymer A được điều chế theo sơ đồ:

Từ 100 kg benzene và 32 m3 ethylene (ở 25 °C, 1 bar), với hiệu suất mỗi quá trình (1), (2), (3) lần lượt là 60%, 55% và 60%, hãy tính khối lượng polymer A thu được (kết quả làm tròn đến phần mười).
Đáp án đúng là:
Quảng cáo
Tính theo phương trình hoá học.
Đáp án cần điền là: 26,4
>> 2K9 Chú ý! Lộ Trình Sun 2027 - 1 lộ trình ôn đa kỳ thi (TN THPT, ĐGNL (Hà Nội/ Hồ Chí Minh), ĐGNL Sư Phạm, ĐGTD, ĐGNL Bộ Công an, ĐGNL Bộ Quốc phòngTD - Click xem ngay) tại Tuyensinh247.com. Cập nhật bám sát bộ SGK mới, Thầy Cô giáo giỏi, 3 bước chi tiết: Nền tảng lớp 12; Luyện thi chuyên sâu; Luyện đề đủ dạng đáp ứng mọi kì thi.
![]() |
![]() |
![]() |
![]() |
![]() |
![]() |
![]() |
![]() |
Hỗ trợ - Hướng dẫn
-
024.7300.7989
-
1800.6947
(Thời gian hỗ trợ từ 7h đến 22h)
Email: lienhe@tuyensinh247.com












