Biết rằng glucose hay fructose đều có thể bị lên men tạo thành ethanol và
Biết rằng glucose hay fructose đều có thể bị lên men tạo thành ethanol và khí carbonic với những enzyme xúc tác khác nhau. Một nhóm nghiên cứu đã thực hiện quá trình lên men glucose và fructose từ mẫu nước đường nho (với hàm lượng glucose và fructose bằng nhau) với hai loại enzyme là Fermivin và Fermichamp (đều thuộc chủng loại S.serevisiae) theo các bước sau:
• Bước 1: Chuẩn bị 2 mẫu nước đường nho, mỗi mẫu là 1 lít (đều chứa 100 gam glucose và 100 gam fructose) và đặt vào trong 2 thùng chứa A và B (dung tích đều 5 lit).
• Bước 2: Cho 20 gam nấm men Fermivin vào thùng A và 20 gam nấm men Fermichamp vào thùng B. Sau đó khuấy đều liên tục 2 thùng (đều giữ ở nhiệt độ 25°C- 30°C và pH khoảng 6,5 đến 7,0) trong 20 phút.
• Bước 3: Cứ sau mỗi 20 phút liên tiếp cách đều nhau, thực hiện phép đo nồng độ CO2 sinh ra, nồng độ glucose, fructose còn lại (đều tính theo g/L). Các kết quả đo được biểu diễn theo đồ thị sau:

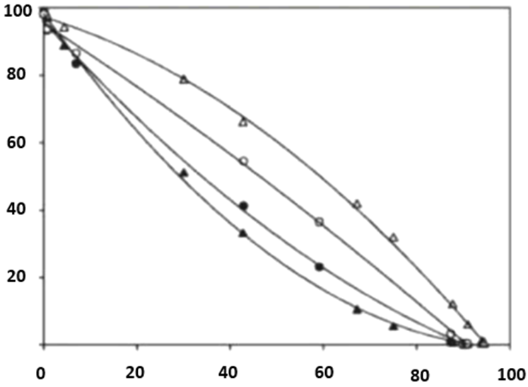
Trong đó:
- Đường cong chứa tam giác biểu thị cho thùng A (tam giác đen và tam giác trắng lần lượt biểu thị cho mức độ lên men của glucose và fructose).
- Đường cong chứa đường tròn biểu thị cho thùng B (đường tròn đen và đường tròn trắng lần lượt biểu thị cho mức độ lên men của glucose và fructose).
- Trục tung biểu diễn nồng độ còn lại của glucose hay fructose (theo g/L).
- Trục hoành biểu diễn nồng độ sinh ra của CO2 (theo g/L).
| Đúng | Sai | |
|---|---|---|
| a) Chủng loại S.serevisiae thuộc dạng enzyme có tính năng xúc tác đặc hiệu cho phản lên men của fructose. |
||
| b) Ở thùng B, tốc độ lên men glucose nhỏ hơn tốc độ lên men fructose. | ||
| c) Nếu dùng nấm men Fermichamp để thay thế cho nấm men Fermivin thì cũng không rút ngắn được khoảng cách giữa tốc độ lên men của fructose so với tốc độ lên men của glucose. |
||
| d) Mục đích làm ở bước 2 là duy trì môi trường ổn định, để cho các chủng nấm men sinh trưởng, phát triển, tăng sinh khối và diễn ra quá trình lên men. |
Đáp án đúng là: S; S; S; Đ
Quảng cáo
Từ biểu đồ kết hợp với dữ liệu đề bài.
Đáp án cần chọn là: S; S; S; Đ
>> 2K9 Chú ý! Lộ Trình Sun 2027 - 1 lộ trình ôn đa kỳ thi (TN THPT, ĐGNL (Hà Nội/ Hồ Chí Minh), ĐGNL Sư Phạm, ĐGTD, ĐGNL Bộ Công an, ĐGNL Bộ Quốc phòngTD - Click xem ngay) tại Tuyensinh247.com. Cập nhật bám sát bộ SGK mới, Thầy Cô giáo giỏi, 3 bước chi tiết: Nền tảng lớp 12; Luyện thi chuyên sâu; Luyện đề đủ dạng đáp ứng mọi kì thi.
![]() |
![]() |
![]() |
![]() |
![]() |
![]() |
![]() |
![]() |
Hỗ trợ - Hướng dẫn
-
024.7300.7989
-
1800.6947
(Thời gian hỗ trợ từ 7h đến 22h)
Email: lienhe@tuyensinh247.com












