Sơ đồ phả hệ sau mô tả sự di truyền nhóm máu hệ ABO và một bệnh M ở
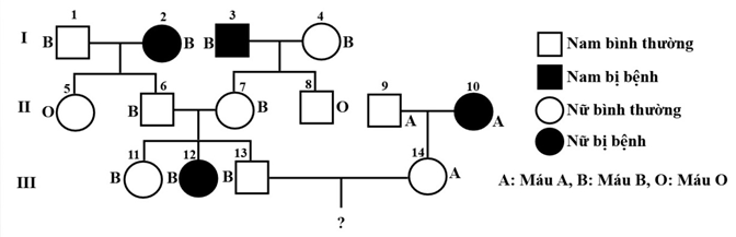
Sơ đồ phả hệ sau mô tả sự di truyền nhóm máu hệ ABO và một bệnh M ở người do 2 lôcut thuộc 2 cặp NST khác nhau quy định. Biết bệnh M trong phả hệ là do một trong 2 allele có quan hệ trội lặn hoàn toàn của một gene quy định; quần thể này đang ở trạng thái cân bằng di truyền về tính trạng nhóm máu trong đó 4% số người có nhóm máu O và 21% số người có nhóm máu B.

Theo lí thuyết:
| Đúng | Sai | |
|---|---|---|
| a) Có 5 người chưa xác định được kiểu gene về bệnh M. | ||
| b) Tối đa 10 người có kiểu gene đồng hợp về nhóm máu. | ||
| c) Xác suất để người III. 14 có kiểu gene dị hợp về nhóm máu là 4/11. |
||
| d) Khả năng cặp vợ chồng III 3 và III14 sinh một đứa con có kiểu gene dị hợp về cả hai tính trạng là 21/44. |
Đáp án đúng là: Đ; Đ; Đ; Đ
Quảng cáo
B1: Dựa vào dữ kiện đề bài cho biện luận xác định quy luật di truyền chi phối.
B2: Xác định các phép lai.
B3: Tiến hành tính toán và xét các phát biểu.
Đáp án cần chọn là: Đ; Đ; Đ; Đ
>> 2K9 Chú ý! Lộ Trình Sun 2027 - 1 lộ trình ôn đa kỳ thi (TN THPT, ĐGNL (Hà Nội/ Hồ Chí Minh), ĐGNL Sư Phạm, ĐGTD, ĐGNL Bộ Công an, ĐGNL Bộ Quốc phòngTD - Click xem ngay) tại Tuyensinh247.com. Cập nhật bám sát bộ SGK mới, Thầy Cô giáo giỏi, 3 bước chi tiết: Nền tảng lớp 12; Luyện thi chuyên sâu; Luyện đề đủ dạng đáp ứng mọi kì thi.
![]() |
![]() |
![]() |
![]() |
![]() |
![]() |
![]() |
![]() |
Hỗ trợ - Hướng dẫn
-
024.7300.7989
-
1800.6947
(Thời gian hỗ trợ từ 7h đến 22h)
Email: lienhe@tuyensinh247.com













