Dòng điện xoay chiều
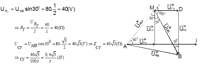
Cho hai hộp kín X, Y chỉ chứa 2 trong ba phần tử: R, L (thuần), C mắc nối tiếp. Khi mắc hai điểm A, M vào hai cực của một nguồn điện một chiều thì Ia = 2(A), UV1 = 60(V). Khi mắc hai điểm A, B vào hai cực của một nguồn điện xoay chiều tần số 50Hz thì Ia = 1(A), Uv1 = 60v; UV2 = 80V, UAM lệch pha so với UMB một góc 1200, xác định X, Y và các giá trị của chúng.
![]()
Đáp án đúng là: A
Quảng cáo
Đáp án cần chọn là: A
>> 2K9 Chú ý! Lộ Trình Sun 2027 - 1 lộ trình ôn đa kỳ thi (TN THPT, ĐGNL (Hà Nội/ Hồ Chí Minh), ĐGNL Sư Phạm, ĐGTD, ĐGNL Bộ Công an, ĐGNL Bộ Quốc phòngTD - Click xem ngay) tại Tuyensinh247.com. Cập nhật bám sát bộ SGK mới, Thầy Cô giáo giỏi, 3 bước chi tiết: Nền tảng lớp 12; Luyện thi chuyên sâu; Luyện đề đủ dạng đáp ứng mọi kì thi.
![]() |
![]() |
![]() |
![]() |
![]() |
![]() |
![]() |
![]() |
Hỗ trợ - Hướng dẫn
-
024.7300.7989
-
1800.6947
(Thời gian hỗ trợ từ 7h đến 22h)
Email: lienhe@tuyensinh247.com














