Cho các chất sau: Mỗi phát biểu dưới đây là đúng hay
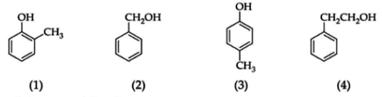
Cho các chất sau:

Mỗi phát biểu dưới đây là đúng hay sai?
| Đúng | Sai | |
|---|---|---|
| a) (1), (2), (3) đều có công thức phân tử là C7H8O. | ||
| b) (1), (3) là phenol. |
||
| c) (1), (3) là alcohol thơm. | ||
| d) (2), (4) là alcohol thơm. |
Đáp án đúng là: Đ; Đ; S; Đ
Quảng cáo
Dựa vào lí thuyết về alcohol, phenol.
Đáp án cần chọn là: Đ; Đ; S; Đ
>> 2K9 Chú ý! Lộ Trình Sun 2027 - 1 lộ trình ôn đa kỳ thi (TN THPT, ĐGNL (Hà Nội/ Hồ Chí Minh), ĐGNL Sư Phạm, ĐGTD, ĐGNL Bộ Công an, ĐGNL Bộ Quốc phòngTD - Click xem ngay) tại Tuyensinh247.com. Cập nhật bám sát bộ SGK mới, Thầy Cô giáo giỏi, 3 bước chi tiết: Nền tảng lớp 12; Luyện thi chuyên sâu; Luyện đề đủ dạng đáp ứng mọi kì thi.
![]() |
![]() |
![]() |
![]() |
![]() |
![]() |
![]() |
![]() |
Hỗ trợ - Hướng dẫn
-
024.7300.7989
-
1800.6947
(Thời gian hỗ trợ từ 7h đến 22h)
Email: lienhe@tuyensinh247.com












