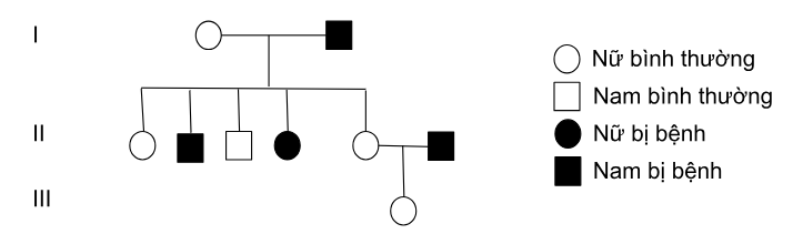
Cho sơ đồ phả hệ dưới đây, biết rằng allele a gây bệnh là lặn so với allele A không gây
Cho sơ đồ phả hệ dưới đây, biết rằng allele a gây bệnh là lặn so với allele A không gây bệnh và không có đột biến xảy ra ở các cá thể trong phả hệ:

Kiểu gene của những người II, II4, II5 và III1 lần lượt là:
Đáp án đúng là: A
Quảng cáo
Xác định gene quy định qua sơ đồ phả hệ và dữ kiện đề bài. Suy ra các kiểu gene của người trong phả hệ.
Đáp án cần chọn là: A
>> 2K9 Chú ý! Lộ Trình Sun 2027 - 1 lộ trình ôn đa kỳ thi (TN THPT, ĐGNL (Hà Nội/ Hồ Chí Minh), ĐGNL Sư Phạm, ĐGTD, ĐGNL Bộ Công an, ĐGNL Bộ Quốc phòngTD - Click xem ngay) tại Tuyensinh247.com. Cập nhật bám sát bộ SGK mới, Thầy Cô giáo giỏi, 3 bước chi tiết: Nền tảng lớp 12; Luyện thi chuyên sâu; Luyện đề đủ dạng đáp ứng mọi kì thi.
![]() |
![]() |
![]() |
![]() |
![]() |
![]() |
![]() |
![]() |
Hỗ trợ - Hướng dẫn
-
024.7300.7989
-
1800.6947
(Thời gian hỗ trợ từ 7h đến 22h)
Email: lienhe@tuyensinh247.com












