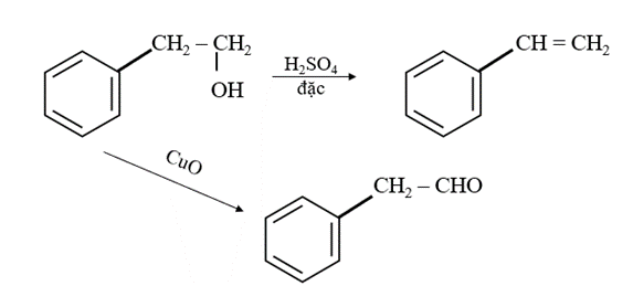
Hợp chất hữu cơ X có công thức phân tử C8H10O chứa vòng benzene. X có
Hợp chất hữu cơ X có công thức phân tử C8H10O chứa vòng benzene. X có phản ứng với Na nhưng không phản ứng với NaOH. Đun nóng X với H2SO4 đặc ở nhiệt độ thích hợp thu được chất hữu cơ Y có khả năng tham gia phản ứng trùng hợp. Mặt khác nếu oxi hóa X bằng CuO (to) thu được aldehyde. Xác định công thức cấu tạo của X, Y, Z và viết các phương trình hóa học xảy ra.
Quảng cáo
Tính chất hoá học của alcohol.
>> 2K9 Chú ý! Lộ Trình Sun 2027 - 1 lộ trình ôn đa kỳ thi (TN THPT, ĐGNL (Hà Nội/ Hồ Chí Minh), ĐGNL Sư Phạm, ĐGTD, ĐGNL Bộ Công an, ĐGNL Bộ Quốc phòngTD - Click xem ngay) tại Tuyensinh247.com. Cập nhật bám sát bộ SGK mới, Thầy Cô giáo giỏi, 3 bước chi tiết: Nền tảng lớp 12; Luyện thi chuyên sâu; Luyện đề đủ dạng đáp ứng mọi kì thi.
![]() |
![]() |
![]() |
![]() |
![]() |
![]() |
![]() |
![]() |
Hỗ trợ - Hướng dẫn
-
024.7300.7989
-
1800.6947
(Thời gian hỗ trợ từ 7h đến 22h)
Email: lienhe@tuyensinh247.com













