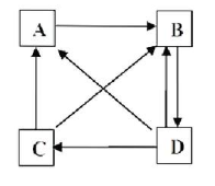
Sơ đồ bên biểu diễn chu trình carbon của một hệ sinh thái có 4 thành
Sơ đồ bên biểu diễn chu trình carbon của một hệ sinh thái có 4 thành phần chính là khí quyển, sinh vật tiêu thụ, sinh vật phân giải và sinh vật sản xuất. Mũi tên chỉ dòng vật chất (carbon) trong sơ đồ. Các thành phần A, B, C và D trong sơ đồ lần lượt là

Đáp án đúng là: B
Quảng cáo
Vận dụng kiến thức về đặc điểm của sự luân chuyển dòng vật chất trong hệ sinh thái.
Đáp án cần chọn là: B
>> 2K8 Chú ý! Lộ Trình Sun 2026 - 3IN1 - 1 lộ trình ôn 3 kì thi (Luyện thi 26+ TN THPT, 90+ ĐGNL HN, 900+ ĐGNL HCM, 70+ ĐGTD - Click xem ngay) tại Tuyensinh247.com.Đầy đủ theo 3 đầu sách, Thầy Cô giáo giỏi, luyện thi theo 3 giai đoạn: Nền tảng lớp 12, Luyện thi chuyên sâu, Luyện đề đủ dạng đáp ứng mọi kì thi.
![]() |
![]() |
![]() |
![]() |
![]() |
![]() |
![]() |
![]() |
Hỗ trợ - Hướng dẫn
-
024.7300.7989
-
1800.6947
(Thời gian hỗ trợ từ 7h đến 22h)
Email: lienhe@tuyensinh247.com













