Ở một loài thực vật, allele A quy định quả đỏ trội hoàn toàn so với allele a
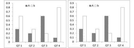
Ở một loài thực vật, allele A quy định quả đỏ trội hoàn toàn so với allele a quy định quả vàng; Allele B quy định hạt trơn trội hoàn toàn so với allele b quy định hạt nhăn. Hai cặp allele nằm trên 2 cặp nhiễm sắc thể thường khách nhau. Tần số allele A, b được biểu diễn qua biểu đồ hình bên. Biết các quần thể được biểu diễn trong biểu đồ đã cân bằng di truyền. Các nhận định dưới đây là đúng hay sai khi nói về 4 quần thể trên?

| Đúng | Sai | |
|---|---|---|
| a) Tần số allele a theo thứ tự giảm dần là QT3 → QT1→ QT 4 → QT2 | ||
| b) Tỉ lệ cây quả vàng, hạt trơn thuần chủng ở quần thể 1 là 17,64%. | ||
| c) Quần thể 3 có tần số kiểu gene dị hợp về 2 cặp gene cao hơn quần thể 2. | ||
| d) Cho cây hoa đỏ ở quần thể 2 giao phấn, xác xuất hiện cây hoa đỏ ở F1 là 20,13% |
Đáp án đúng là: S; S; Đ; Đ
Quảng cáo
Kiến thức về quần thể.
Công thức quần thể cân bằng của định luật Hardy–Weinberg.

Đáp án cần chọn là: S; S; Đ; Đ
>> 2K9 Chú ý! Lộ Trình Sun 2027 - 1 lộ trình ôn đa kỳ thi (TN THPT, ĐGNL (Hà Nội/ Hồ Chí Minh), ĐGNL Sư Phạm, ĐGTD, ĐGNL Bộ Công an, ĐGNL Bộ Quốc phòngTD - Click xem ngay) tại Tuyensinh247.com. Cập nhật bám sát bộ SGK mới, Thầy Cô giáo giỏi, 3 bước chi tiết: Nền tảng lớp 12; Luyện thi chuyên sâu; Luyện đề đủ dạng đáp ứng mọi kì thi.
![]() |
![]() |
![]() |
![]() |
![]() |
![]() |
![]() |
![]() |
Hỗ trợ - Hướng dẫn
-
024.7300.7989
-
1800.6947
(Thời gian hỗ trợ từ 7h đến 22h)
Email: lienhe@tuyensinh247.com












