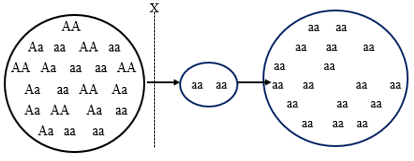
Hình 8 mô tả một nhân tố tiến hóa X tác động vào quần thể theo
Hình 8 mô tả một nhân tố tiến hóa X tác động vào quần thể theo thời gian. Hãy viết liền số thứ tự các phát biểu đúng từ bé đến lớn khi nói về nhân tố tiến hóa P?

(1) Nhân tố X là nhân tố có hướng.
(2) Nhân tố X làm thay đổi cả tần số allele và thành phần kiểu gene của quần thể.
(3) Nhân tố X làm tăng đa dạng di truyền của quần thể.
(4) Nhân tố X có xu hướng làm giảm dần kiểu gene dị hợp tử và duy trì các kiểu gene đồng hợp trong quần thể.
Đáp án đúng là:
Quảng cáo
Phân tích hình ảnh để thấy được sự khác nhau trong cấu trúc di truyền của quần thể trước và sau khi nhân tố P tác động.
Đáp án cần điền là: 2
>> 2K9 Chú ý! Lộ Trình Sun 2027 - 1 lộ trình ôn đa kỳ thi (TN THPT, ĐGNL (Hà Nội/ Hồ Chí Minh), ĐGNL Sư Phạm, ĐGTD, ĐGNL Bộ Công an, ĐGNL Bộ Quốc phòngTD - Click xem ngay) tại Tuyensinh247.com. Cập nhật bám sát bộ SGK mới, Thầy Cô giáo giỏi, 3 bước chi tiết: Nền tảng lớp 12; Luyện thi chuyên sâu; Luyện đề đủ dạng đáp ứng mọi kì thi.
![]() |
![]() |
![]() |
![]() |
![]() |
![]() |
![]() |
![]() |
Hỗ trợ - Hướng dẫn
-
024.7300.7989
-
1800.6947
(Thời gian hỗ trợ từ 7h đến 22h)
Email: lienhe@tuyensinh247.com












