Hai dây dẫn thẳng song song dài vô hạn, đặt cách nhau một khoảng b = 2a = 20cm trong không khí. Cho

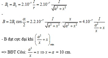
Hai dây dẫn thẳng song song dài vô hạn, đặt cách nhau một khoảng b = 2a = 20cm trong không khí. Cho hai dòng điện cùng chiều và cùng cường độ I1 = I2 = I = 5A đi qua hai dây. Một mặt phẳng P vuông góc với hai dây dẫn và cắt dây I1 tại A và cắt dây I2 tại B. M là một điểm trên mặt phẳng P thuộc đường trung trực Ox của AB, với OM = x. Tìm điểm M0 trên Ox mà tại đó cảm ứng từ đạt giá trị cực đại?
Quảng cáo
>> 2K9 Chú ý! Lộ Trình Sun 2027 - 1 lộ trình ôn đa kỳ thi (TN THPT, ĐGNL (Hà Nội/ Hồ Chí Minh), ĐGNL Sư Phạm, ĐGTD, ĐGNL Bộ Công an, ĐGNL Bộ Quốc phòngTD - Click xem ngay) tại Tuyensinh247.com. Cập nhật bám sát bộ SGK mới, Thầy Cô giáo giỏi, 3 bước chi tiết: Nền tảng lớp 12; Luyện thi chuyên sâu; Luyện đề đủ dạng đáp ứng mọi kì thi.
![]() |
![]() |
![]() |
![]() |
![]() |
![]() |
![]() |
![]() |
Hỗ trợ - Hướng dẫn
-
024.7300.7989
-
1800.6947
(Thời gian hỗ trợ từ 7h đến 22h)
Email: lienhe@tuyensinh247.com













