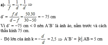
Một vật sáng phẳng nhỏ AB = 2cm đặt vuông góc với trục chính và cách thấu kính hội tụ có
Một vật sáng phẳng nhỏ AB = 2cm đặt vuông góc với trục chính và cách thấu kính hội tụ có tiêu cự f = 50 cm một đoạn d = 30 cm.
a) Xác định vị trí, tính chất và độ lớn của ảnh A’B’ qua thấu kính.
b) Vẽ ảnh A’B’ của vật AB được tạo bởi thấu kính trên.
Quảng cáo
>> 2K9 Chú ý! Lộ Trình Sun 2027 - 1 lộ trình ôn đa kỳ thi (TN THPT, ĐGNL (Hà Nội/ Hồ Chí Minh), ĐGNL Sư Phạm, ĐGTD, ĐGNL Bộ Công an, ĐGNL Bộ Quốc phòngTD - Click xem ngay) tại Tuyensinh247.com. Cập nhật bám sát bộ SGK mới, Thầy Cô giáo giỏi, 3 bước chi tiết: Nền tảng lớp 12; Luyện thi chuyên sâu; Luyện đề đủ dạng đáp ứng mọi kì thi.
![]() |
![]() |
![]() |
![]() |
![]() |
![]() |
![]() |
![]() |
Hỗ trợ - Hướng dẫn
-
024.7300.7989
-
1800.6947
(Thời gian hỗ trợ từ 7h đến 22h)
Email: lienhe@tuyensinh247.com













