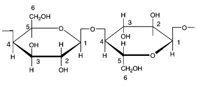
Cellulose là polymer thiên nhiên, có công thức phân tử (C6H10O5)n, được
Cellulose là polymer thiên nhiên, có công thức phân tử (C6H10O5)n, được cấu tạo như sau:
Cellulose được sử dụng làm vật liệu xây dựng (các loại đồ gỗ), sản xuất giấy, sợi tự nhiên và sợi nhân tạo. Cellulose cũng được sử dụng làm nguyên liệu để điều chế ethanol và cellulose trinitrate (dùng để chế tạo thuốc súng không khói).

| Đúng | Sai | |
|---|---|---|
| a) Trong cellulose, mỗi đơn vị C6H10O5 có 3 nhóm -OH nên có thể viết công thức của cellulose là [C6H7O2(OH)3]n | ||
| b) Phân tử cellulose cấu tạo từ nhiều đơn vị α-glucose qua liên kết α-1,4-glycoside. | ||
| c) Từ cellulose điều chế ethanol dựa vào tính chất lên men của cellulose diễn ra 3 phản ứng hóa học. | ||
| d) Từ 1 tấn vụn gỗ điều chế được a kilogam cellulose trinitrate cần V lit dung dịch HNO3 63%. Biết vụn gỗ chứa 60% cellulose còn lại là tạp chất trơ, hiệu suất phản ứng 90%, dung dịch HNO3 có khối lượng riêng bằng 1,4 gam/mL. Tổng giá trị (a + V) là 1784. (Làm tròn kết quả đến hàng đơn vị). |
Đáp án đúng là: Đ; S; Đ; S
Quảng cáo
a), b), c) : Lý thuyết về tính chất hóa học của cellulose.
d) \([{{\rm{C}}_6}{{\rm{H}}_7}{{\rm{O}}_3}{{\rm{(OH)}}_3}]{ & _{\rm{n}}} + 3{\rm{nHN}}{{\rm{O}}_3} \to [{{\rm{C}}_6}{{\rm{H}}_7}{{\rm{O}}_3}{{\rm{(ON}}{{\rm{O}}_2}{\rm{)}}_3}]{ & _{\rm{n}}} + 3{\rm{n}}{{\rm{H}}_2}{\rm{O}}\)
Ta có: mcellulose = mgỗ.60%
H = 90% nên mcellulose phản ứng = 90%. mcellulose \( \to {{\rm{n}}_{{\rm{cellulose phan ung}}}}\)
Theo PTHH: \({{\rm{n}}_{{\rm{HN}}{{\rm{O}}_3}}} = 3{\rm{n}}{\rm{.}}{{\rm{n}}_{{\rm{cellulose phan ung}}}}\) \( \to {{\rm{m}}_{{\rm{HN}}{{\rm{O}}_3}}}\)
\({\rm{C}}_{{\rm{HN}}{{\rm{O}}_3}}^\% = \dfrac{{{{\rm{m}}_{{\rm{HN}}{{\rm{O}}_3}}}}}{{{{\rm{m}}_{{\rm{dung dich}}}}}}.100\% \to {{\rm{m}}_{{\rm{dung dich}}}} = \dfrac{{{{\rm{m}}_{{\rm{HN}}{{\rm{O}}_3}}}}}{{{\rm{C}}_{{\rm{HN}}{{\rm{O}}_3}}^\% }}.100\% \)
\({{\rm{m}}_{{\rm{dd HN}}{{\rm{O}}_3}}} = {{\rm{V}}_{{\rm{dd HN}}{{\rm{O}}_3}}}.{\rm{D}} \to {{\rm{V}}_{{\rm{dd HN}}{{\rm{O}}_3}}} = \dfrac{{{{\rm{m}}_{{\rm{dd HN}}{{\rm{O}}_3}}}}}{{\rm{D}}}\)
Theo PTHH: \({{\rm{n}}_{[{{\rm{C}}_6}{{\rm{H}}_7}{{\rm{O}}_3}{{{\rm{(ON}}{{\rm{O}}_2}{\rm{)}}}_3}]{ & _{\rm{n}}}}} = {{\rm{n}}_{[{{\rm{C}}_6}{{\rm{H}}_7}{{\rm{O}}_3}{{{\rm{(OH)}}}_3}]{ & _{\rm{n}}}}}\) \( \to {{\rm{m}}_{[{{\rm{C}}_6}{{\rm{H}}_7}{{\rm{O}}_3}{{{\rm{(ON}}{{\rm{O}}_2}{\rm{)}}}_3}]{ & _{\rm{n}}}}}\)
Đáp án cần chọn là: Đ; S; Đ; S
>> 2K9 Chú ý! Lộ Trình Sun 2027 - 1 lộ trình ôn đa kỳ thi (TN THPT, ĐGNL (Hà Nội/ Hồ Chí Minh), ĐGNL Sư Phạm, ĐGTD, ĐGNL Bộ Công an, ĐGNL Bộ Quốc phòngTD - Click xem ngay) tại Tuyensinh247.com. Cập nhật bám sát bộ SGK mới, Thầy Cô giáo giỏi, 3 bước chi tiết: Nền tảng lớp 12; Luyện thi chuyên sâu; Luyện đề đủ dạng đáp ứng mọi kì thi.
![]() |
![]() |
![]() |
![]() |
![]() |
![]() |
![]() |
![]() |
Hỗ trợ - Hướng dẫn
-
024.7300.7989
-
1800.6947
(Thời gian hỗ trợ từ 7h đến 22h)
Email: lienhe@tuyensinh247.com












