Nedaplatin là một trong những hợp chất cisplatin có hoạt tính chống ung thư thế
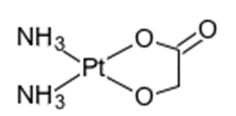
Nedaplatin là một trong những hợp chất cisplatin có hoạt tính chống ung thư thế hệ hai có tên thương mại là Aqupla. Công thức cấu tạo của nedaplatin như sau

| Đúng | Sai | |
|---|---|---|
| a) Trong phức chất nguyên tử trung tâm là Pt2+. | ||
| b) Điện tích của phức chất là +2. | ||
| c) Phân tử có hình dạng vuông phẳng với 4 liên kết phối trí tạo thành. | ||
| d) Trong phức chất có phối tử hai càng (một phối tử tạo hai liên kết phối trí với nguyên tử trung tâm). |
Đáp án đúng là: Đ; S; Đ; Đ
Quảng cáo
Từ CTCT của nedaplatin suy ra đặc điểm của phức chất.
Đáp án cần chọn là: Đ; S; Đ; Đ
>> 2K9 Chú ý! Lộ Trình Sun 2027 - 1 lộ trình ôn đa kỳ thi (TN THPT, ĐGNL (Hà Nội/ Hồ Chí Minh), ĐGNL Sư Phạm, ĐGTD, ĐGNL Bộ Công an, ĐGNL Bộ Quốc phòngTD - Click xem ngay) tại Tuyensinh247.com. Cập nhật bám sát bộ SGK mới, Thầy Cô giáo giỏi, 3 bước chi tiết: Nền tảng lớp 12; Luyện thi chuyên sâu; Luyện đề đủ dạng đáp ứng mọi kì thi.
![]() |
![]() |
![]() |
![]() |
![]() |
![]() |
![]() |
![]() |
Hỗ trợ - Hướng dẫn
-
024.7300.7989
-
1800.6947
(Thời gian hỗ trợ từ 7h đến 22h)
Email: lienhe@tuyensinh247.com












