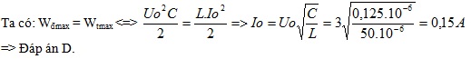
Mạch dao động điện từ gồm một tụ điện có C = 0,125 μF và một cuộn cảm có L = 50 μH.
Mạch dao động điện từ gồm một tụ điện có C = 0,125 μF và một cuộn cảm có L = 50 μH. Điện trở thuần của mạch không đáng kể. Hiệu điện thế cực đại giữa 2 bản tụ là 3V. Cường độ dòng điện cực đại trong mạch là
Đáp án đúng là: D
Quảng cáo
Đáp án cần chọn là: D
>> 2K9 Chú ý! Lộ Trình Sun 2027 - 1 lộ trình ôn đa kỳ thi (TN THPT, ĐGNL (Hà Nội/ Hồ Chí Minh), ĐGNL Sư Phạm, ĐGTD, ĐGNL Bộ Công an, ĐGNL Bộ Quốc phòngTD - Click xem ngay) tại Tuyensinh247.com. Cập nhật bám sát bộ SGK mới, Thầy Cô giáo giỏi, 3 bước chi tiết: Nền tảng lớp 12; Luyện thi chuyên sâu; Luyện đề đủ dạng đáp ứng mọi kì thi.
![]() |
![]() |
![]() |
![]() |
![]() |
![]() |
![]() |
![]() |
Hỗ trợ - Hướng dẫn
-
024.7300.7989
-
1800.6947
(Thời gian hỗ trợ từ 7h đến 22h)
Email: lienhe@tuyensinh247.com













