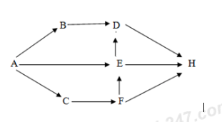
Hãy nghiên cứu sơ đồ dưới đây minh họa lưới thức ăn trong một hệ sinh thái gồm các loài
Hãy nghiên cứu sơ đồ dưới đây minh họa lưới thức ăn trong một hệ sinh thái gồm các loài sinh vật: A, B, C, D, D, E, F, H

Cho các kết luận sau đây về lưới thức ăn này
(1) Lưới thức ăn này có tối đa 6 chuỗi thức ăn
(2) Loài D tham gia vào 2 chuỗi thức ăn khác nhau
(3) Loài E tham gia vào nhiều chuỗi thức ăn hơn loài F
(4) Nếu loại bỏ loài B ra khỏi quần xã thì loài D sẽ mất đi
(5) Có 2 loài thuộc bậc dinh dưỡng cấp 5
Các phương án trả lời đúng là
(Tô liền các đáp án chọn theo thứ tự từ bé đến lớn)
Đáp án đúng là:
Quảng cáo
Vận dụng kiến thức đã học về trao đổi vật chất và chuyển hóa năng lượng trong hệ sinh thái.
Đáp án cần điền là: 135
>> 2K9 Chú ý! Lộ Trình Sun 2027 - 1 lộ trình ôn đa kỳ thi (TN THPT, ĐGNL (Hà Nội/ Hồ Chí Minh), ĐGNL Sư Phạm, ĐGTD, ĐGNL Bộ Công an, ĐGNL Bộ Quốc phòngTD - Click xem ngay) tại Tuyensinh247.com. Cập nhật bám sát bộ SGK mới, Thầy Cô giáo giỏi, 3 bước chi tiết: Nền tảng lớp 12; Luyện thi chuyên sâu; Luyện đề đủ dạng đáp ứng mọi kì thi.
![]() |
![]() |
![]() |
![]() |
![]() |
![]() |
![]() |
![]() |
Hỗ trợ - Hướng dẫn
-
024.7300.7989
-
1800.6947
(Thời gian hỗ trợ từ 7h đến 22h)
Email: lienhe@tuyensinh247.com












