Theo chương trình Nâng cao Một tế bào quang điện có catốt được làm bằng kim loại có giới
Theo chương trình Nâng cao
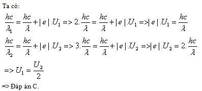
Một tế bào quang điện có catốt được làm bằng kim loại có giới hạn quang điện của kim loại là λ0. Chiếu vào catốt của tế bào quang điện này lần lượt hai bức xạ có bước sóng λ1 =
và λ2 =
thì hiệu điện thế hãm để triệt tiêu dòng quang điện có độ lớn tương ứng là U1 và U2, với
Đáp án đúng là: A
Quảng cáo
Đáp án cần chọn là: A
>> 2K9 Chú ý! Lộ Trình Sun 2027 - 1 lộ trình ôn đa kỳ thi (TN THPT, ĐGNL (Hà Nội/ Hồ Chí Minh), ĐGNL Sư Phạm, ĐGTD, ĐGNL Bộ Công an, ĐGNL Bộ Quốc phòngTD - Click xem ngay) tại Tuyensinh247.com. Cập nhật bám sát bộ SGK mới, Thầy Cô giáo giỏi, 3 bước chi tiết: Nền tảng lớp 12; Luyện thi chuyên sâu; Luyện đề đủ dạng đáp ứng mọi kì thi.
![]() |
![]() |
![]() |
![]() |
![]() |
![]() |
![]() |
![]() |
Hỗ trợ - Hướng dẫn
-
024.7300.7989
-
1800.6947
(Thời gian hỗ trợ từ 7h đến 22h)
Email: lienhe@tuyensinh247.com













