Cho phản ứng sau: 2SO2 (g) + O2(g) $\overset{V_{2}O_{5},\, t^{0}}{\rightleftharpoons}$ 2SO3 (g)Biết nhiệt tạo
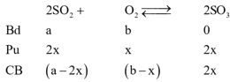
Cho phản ứng sau: 2SO2 (g) + O2(g) $\overset{V_{2}O_{5},\, t^{0}}{\rightleftharpoons}$ 2SO3 (g)
Biết nhiệt tạo thành chuẩn của SO2 (g) và SO3 (g) tương ứng là –296,83 kJ/mol và –395,72 kJ/mol.
a) Tính biến thiên enthalpy của phản ứng trên ở điều kiện chuẩn?
b) Viết công thức tính tốc độ trung bình của phản ứng theo chất đầu và sản phẩm?
c) Tại thời gian 300 giây thì nồng độ của SO2 và SO3 đo được lần lượt là 0,0270 mol/L và 0,0072 mol/L. Vậy nếu tại 720 giây, nồng độ của SO2 đo được là 0,0194 mol/L thì nồng độ của SO3 là bao nhiêu?
Quảng cáo
a) Năng lượng của phản ứng hoá học.
b), c) Tốc độ trung bình của phản ứng hoá học.
>> Học trực tuyến Lớp 10 cùng thầy cô giáo giỏi tại Tuyensinh247.com, (Xem ngay) Cam kết giúp học sinh học tốt, bứt phá điểm 9,10 chỉ sau 3 tháng, làm quen kiến thức, định hướng luyện thi TN THPT, ĐGNL, ĐGTD ngay từ lớp 10
![]() |
![]() |
![]() |
![]() |
![]() |
![]() |
![]() |
![]() |
Hỗ trợ - Hướng dẫn
-
024.7300.7989
-
1800.6947
(Thời gian hỗ trợ từ 7h đến 22h)
Email: lienhe@tuyensinh247.com













