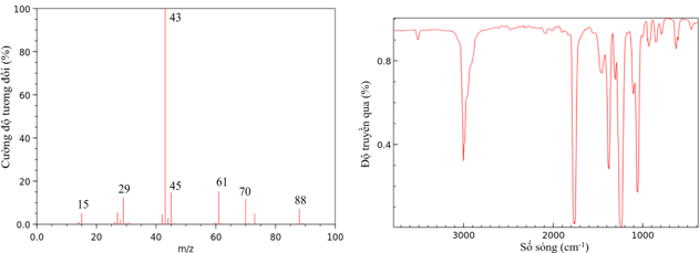
Cho các dữ kiện thực nghiệm về hợp chất hữu cơ đơn chức X, thường được sử dụng làm
Cho các dữ kiện thực nghiệm về hợp chất hữu cơ đơn chức X, thường được sử dụng làm dung môi, hương liệu:
- Thành phần khối lượng nguyên tố: %C = 54,55%; %H = 9,10%; %O = 36,35%.
- Nhiệt độ nóng chảy là –83,8 °C, nhiệt độ sôi là 77,1 °C.
- Ở 20°C, khối lượng riêng D = 0,90 g/cm³ và độ tan là 8,3 gam/100 gam nước.
- Phổ hồng ngoại và phổ khối lượng:

| Đúng | Sai | |
|---|---|---|
| a) X bị thủy phân hoàn toàn trong cả môi trường acid và môi trường kiềm. | ||
| b) Ở 20°C, dung dịch X bão hòa có nồng độ phần trăm là 8,3%. | ||
| c) X là ester no, đơn chức, mạch hở. | ||
| d) X có công thức phân tử là C4H8O2. |
Đáp án đúng là: S; S; Đ; Đ
Quảng cáo
Dựa vào phổi khối lượng và phần trăm khối lượng các nguyên tố ⟶ Xác định công thức phân tử của X.
Dựa vào hồng ngoại để xác định các nhóm chức trong X ⟶ Xác định cấu tạo của X.
a), c), d): Dựa vào công thức phân tử và công thức cấu tạo của X.
b) Dựa vào độ tan của X.
Đáp án cần chọn là: S; S; Đ; Đ
>> 2K9 Chú ý! Lộ Trình Sun 2027 - 1 lộ trình ôn đa kỳ thi (TN THPT, ĐGNL (Hà Nội/ Hồ Chí Minh), ĐGNL Sư Phạm, ĐGTD, ĐGNL Bộ Công an, ĐGNL Bộ Quốc phòngTD - Click xem ngay) tại Tuyensinh247.com. Cập nhật bám sát bộ SGK mới, Thầy Cô giáo giỏi, 3 bước chi tiết: Nền tảng lớp 12; Luyện thi chuyên sâu; Luyện đề đủ dạng đáp ứng mọi kì thi.
![]() |
![]() |
![]() |
![]() |
![]() |
![]() |
![]() |
![]() |
Hỗ trợ - Hướng dẫn
-
024.7300.7989
-
1800.6947
(Thời gian hỗ trợ từ 7h đến 22h)
Email: lienhe@tuyensinh247.com












