Trong mạch dao động điện từ LC, khi dùng tụ điện có điện dung C1 thì tần số dao động là f1
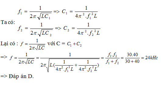
Trong mạch dao động điện từ LC, khi dùng tụ điện có điện dung C1 thì tần số dao động là f1 = 30kHz, khi dùng tụ điện có điện dung C2 thì tần số dao động là f2 = 40kHz. Khi dùng hai tụ điện có các điện dung C1 và C2 ghép song song thì tần số dao động điện từ là
Đáp án đúng là: D
Quảng cáo
Đáp án cần chọn là: D
>> 2K8 Chú ý! Lộ Trình Sun 2026 - 3IN1 - 1 lộ trình ôn 3 kì thi (Luyện thi 26+ TN THPT, 90+ ĐGNL HN, 900+ ĐGNL HCM, 70+ ĐGTD - Click xem ngay) tại Tuyensinh247.com.Đầy đủ theo 3 đầu sách, Thầy Cô giáo giỏi, luyện thi theo 3 giai đoạn: Nền tảng lớp 12, Luyện thi chuyên sâu, Luyện đề đủ dạng đáp ứng mọi kì thi.
![]() |
![]() |
![]() |
![]() |
![]() |
![]() |
![]() |
![]() |
Hỗ trợ - Hướng dẫn
-
024.7300.7989
-
1800.6947
(Thời gian hỗ trợ từ 7h đến 22h)
Email: lienhe@tuyensinh247.com













