Lysine là một trong những amino acid thiết yếu đối với cơ thể con người. Với mỗi môi trường
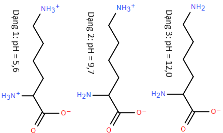
Lysine là một trong những amino acid thiết yếu đối với cơ thể con người. Với mỗi môi trường có giá trị pH bằng 5,6; 9,7; 12,0, coi lysine chỉ tồn tại ở dạng cho dưới đây:

Trong quá trình điện di, ion sẽ di chuyển về phía điện cực trái dấu với ion. Cho các nhận định sau về quá trình điện di của lysine:
(a) Với môi trường pH = 9,7 thì dạng (2) hầu như không dịch chuyển về các điện cực.
(b) Với môi trường pH = 5,6 thì dạng (1) di chuyển về phía cực âm.
(c) Với môi trường pH = 12,0 thì dạng (3) di chuyển về phía cực dương.
(d) Với môi trường pH = 9,7 thì dạng (2) di chuyển về phía cực âm.
Số nhận định đúng là
Đáp án đúng là: A
Quảng cáo
Lí thuyết về tính điện di của amino acid.
Đáp án cần chọn là: A
>> 2K9 Chú ý! Lộ Trình Sun 2027 - 1 lộ trình ôn đa kỳ thi (TN THPT, ĐGNL (Hà Nội/ Hồ Chí Minh), ĐGNL Sư Phạm, ĐGTD, ĐGNL Bộ Công an, ĐGNL Bộ Quốc phòngTD - Click xem ngay) tại Tuyensinh247.com. Cập nhật bám sát bộ SGK mới, Thầy Cô giáo giỏi, 3 bước chi tiết: Nền tảng lớp 12; Luyện thi chuyên sâu; Luyện đề đủ dạng đáp ứng mọi kì thi.
![]() |
![]() |
![]() |
![]() |
![]() |
![]() |
![]() |
![]() |
Hỗ trợ - Hướng dẫn
-
024.7300.7989
-
1800.6947
(Thời gian hỗ trợ từ 7h đến 22h)
Email: lienhe@tuyensinh247.com












