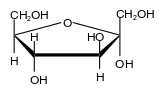
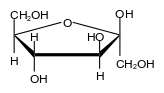
Công thức nào dưới đây phù hợp với công thức cấu tạo dạng mạch vòng của
Công thức nào dưới đây phù hợp với công thức cấu tạo dạng mạch vòng của α-glucose?
Đáp án đúng là: A
Quảng cáo
Vòng α là một cấu hình của các đường vòng (ví dụ: glucose, fructose), trong đó nhóm hydroxyl ở carbon anomeric (carbon đầu tiên trong vòng) nằm ở phía dưới mặt phẳng của vòng.
Đáp án cần chọn là: A
>> 2K9 Chú ý! Lộ Trình Sun 2027 - 1 lộ trình ôn đa kỳ thi (TN THPT, ĐGNL (Hà Nội/ Hồ Chí Minh), ĐGNL Sư Phạm, ĐGTD, ĐGNL Bộ Công an, ĐGNL Bộ Quốc phòngTD - Click xem ngay) tại Tuyensinh247.com. Cập nhật bám sát bộ SGK mới, Thầy Cô giáo giỏi, 3 bước chi tiết: Nền tảng lớp 12; Luyện thi chuyên sâu; Luyện đề đủ dạng đáp ứng mọi kì thi.
![]() |
![]() |
![]() |
![]() |
![]() |
![]() |
![]() |
![]() |
Hỗ trợ - Hướng dẫn
-
024.7300.7989
-
1800.6947
(Thời gian hỗ trợ từ 7h đến 22h)
Email: lienhe@tuyensinh247.com













