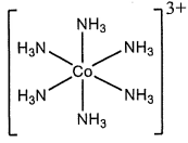
Trong phức chất, số liên kết σ (sigma) tạo thành giữa một phối tử với nguyên tử kim loại
Trong phức chất, số liên kết σ (sigma) tạo thành giữa một phối tử với nguyên tử kim loại trung tâm được gọi là dung lượng phối trí của phối tử đó. Cấu tạo của phức chất [Co(NH3)6]3+ được cho ở hình bên. Dung lượng phối trí của mỗi phối tử NH3 trong phức chất đã cho là

Đáp án đúng là: A
Quảng cáo
Trong phức chất, số liên kết σ (sigma) tạo thành giữa một phối tử với nguyên tử trung tâm được gọi là dung lượng phối trí của phối tử đó.
Đáp án cần chọn là: A
>> 2K9 Chú ý! Lộ Trình Sun 2027 - 1 lộ trình ôn đa kỳ thi (TN THPT, ĐGNL (Hà Nội/ Hồ Chí Minh), ĐGNL Sư Phạm, ĐGTD, ĐGNL Bộ Công an, ĐGNL Bộ Quốc phòngTD - Click xem ngay) tại Tuyensinh247.com. Cập nhật bám sát bộ SGK mới, Thầy Cô giáo giỏi, 3 bước chi tiết: Nền tảng lớp 12; Luyện thi chuyên sâu; Luyện đề đủ dạng đáp ứng mọi kì thi.
![]() |
![]() |
![]() |
![]() |
![]() |
![]() |
![]() |
![]() |
Hỗ trợ - Hướng dẫn
-
024.7300.7989
-
1800.6947
(Thời gian hỗ trợ từ 7h đến 22h)
Email: lienhe@tuyensinh247.com












