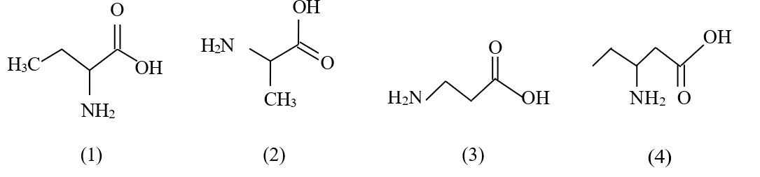
Cho các chất có công thức cấu tạo như sau:Có bao nhiêu chất trong số các chất trên không phải
Cho các chất có công thức cấu tạo như sau:

Có bao nhiêu chất trong số các chất trên không phải là α–amino acid?
Đáp án đúng là:
Quảng cáo
α - amino acid là những amino acid có nhóm amino (-NH2) và carboxylic acid ở vị trí α so với nhau.
Đáp án cần điền là: 2
>> 2K9 Chú ý! Lộ Trình Sun 2027 - 1 lộ trình ôn đa kỳ thi (TN THPT, ĐGNL (Hà Nội/ Hồ Chí Minh), ĐGNL Sư Phạm, ĐGTD, ĐGNL Bộ Công an, ĐGNL Bộ Quốc phòngTD - Click xem ngay) tại Tuyensinh247.com. Cập nhật bám sát bộ SGK mới, Thầy Cô giáo giỏi, 3 bước chi tiết: Nền tảng lớp 12; Luyện thi chuyên sâu; Luyện đề đủ dạng đáp ứng mọi kì thi.
![]() |
![]() |
![]() |
![]() |
![]() |
![]() |
![]() |
![]() |
Hỗ trợ - Hướng dẫn
-
024.7300.7989
-
1800.6947
(Thời gian hỗ trợ từ 7h đến 22h)
Email: lienhe@tuyensinh247.com












