Dao động và sóng điện từ
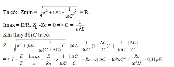
Mạch chọn sóng của một máy thu vô tuyến gồm một cuộn dây có độ tụ cảm 2,5 μH và một tụ xoay. Điện trở thuần của mạch là 1,3mΩ. Sau khi bắt được sóng điện từ có bước sóng 21,5m thì xoay nhanh tụ để suất điện động không đổi nhưng cường độ hiệu dụng dòng điện thì giảm xuống 1000lần. Hỏi điện dung tụ thay đổi bao nhiêu?
Đáp án đúng là: C
Quảng cáo
Đáp án cần chọn là: C
>> 2K9 Chú ý! Lộ Trình Sun 2027 - 1 lộ trình ôn đa kỳ thi (TN THPT, ĐGNL (Hà Nội/ Hồ Chí Minh), ĐGNL Sư Phạm, ĐGTD, ĐGNL Bộ Công an, ĐGNL Bộ Quốc phòngTD - Click xem ngay) tại Tuyensinh247.com. Cập nhật bám sát bộ SGK mới, Thầy Cô giáo giỏi, 3 bước chi tiết: Nền tảng lớp 12; Luyện thi chuyên sâu; Luyện đề đủ dạng đáp ứng mọi kì thi.
![]() |
![]() |
![]() |
![]() |
![]() |
![]() |
![]() |
![]() |
Hỗ trợ - Hướng dẫn
-
024.7300.7989
-
1800.6947
(Thời gian hỗ trợ từ 7h đến 22h)
Email: lienhe@tuyensinh247.com













