Dao động và sóng điện từ
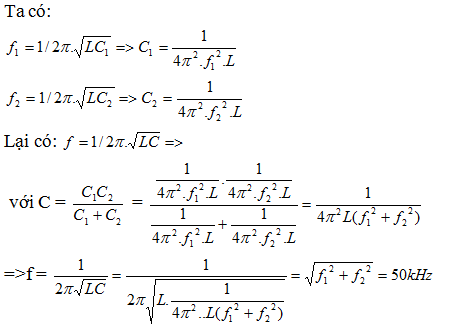
(ĐH-CĐ 2010): Mạch dao động lý tưởng gồm cuộn cảm thuần có độ tự cảm L không đổi và có tụ điện có điện dung C thay đổi được. Khi thì tần số dao động riêng của mạch bằng 30 kHz và khi thì tần số dao động riêng của mạch bằng 40 kHz.
Nếu C = C1C2/( C1+C2) thì tần số dao động riêng của mạch bằng
Đáp án đúng là: A
Quảng cáo
Đáp án cần chọn là: A
>> 2K9 Chú ý! Lộ Trình Sun 2027 - 1 lộ trình ôn đa kỳ thi (TN THPT, ĐGNL (Hà Nội/ Hồ Chí Minh), ĐGNL Sư Phạm, ĐGTD, ĐGNL Bộ Công an, ĐGNL Bộ Quốc phòngTD - Click xem ngay) tại Tuyensinh247.com. Cập nhật bám sát bộ SGK mới, Thầy Cô giáo giỏi, 3 bước chi tiết: Nền tảng lớp 12; Luyện thi chuyên sâu; Luyện đề đủ dạng đáp ứng mọi kì thi.
![]() |
![]() |
![]() |
![]() |
![]() |
![]() |
![]() |
![]() |
Hỗ trợ - Hướng dẫn
-
024.7300.7989
-
1800.6947
(Thời gian hỗ trợ từ 7h đến 22h)
Email: lienhe@tuyensinh247.com













