Dao động và sóng điện từ
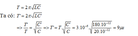
(CĐ 2012): Một mạch dao động điện từ lí tưởng gồm cuộn cảm thuần và tụ điện có điện dung thay đổi được. Trong mạch đang có dao động điện từ tự do. Khi điện dung của tụ điện có giá trị 20 pF thì chu kì dao động riêng của mạch dao động là 3 μs. Khi điện dung của tụ điện có giá trị 180 pF thì chu kì dao động riêng của mạch dao động là
Đáp án đúng là: A
Quảng cáo
Đáp án cần chọn là: A
>> 2K9 Chú ý! Lộ Trình Sun 2027 - 1 lộ trình ôn đa kỳ thi (TN THPT, ĐGNL (Hà Nội/ Hồ Chí Minh), ĐGNL Sư Phạm, ĐGTD, ĐGNL Bộ Công an, ĐGNL Bộ Quốc phòngTD - Click xem ngay) tại Tuyensinh247.com. Cập nhật bám sát bộ SGK mới, Thầy Cô giáo giỏi, 3 bước chi tiết: Nền tảng lớp 12; Luyện thi chuyên sâu; Luyện đề đủ dạng đáp ứng mọi kì thi.
![]() |
![]() |
![]() |
![]() |
![]() |
![]() |
![]() |
![]() |
Hỗ trợ - Hướng dẫn
-
024.7300.7989
-
1800.6947
(Thời gian hỗ trợ từ 7h đến 22h)
Email: lienhe@tuyensinh247.com













