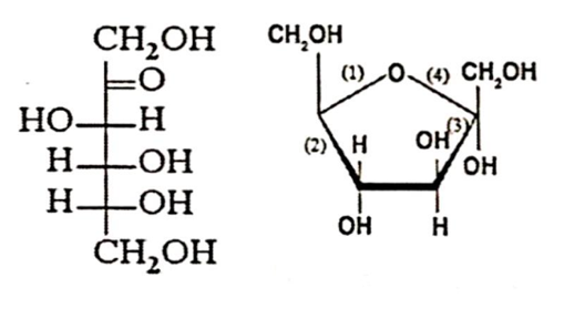
Đồng phân dạng mạch hở và dạng mạch vòng của fructose có thể chuyển hóa lẫn nhau. Cấu tạo
Đồng phân dạng mạch hở và dạng mạch vòng của fructose có thể chuyển hóa lẫn nhau. Cấu tạo dạng mạch vòng 5 cạnh của $\alpha$-fructose được cho như hình bên. Liên kết nào trong số các liên kết được đánh số (1), (2), (3), (4) sẽ bị phá vỡ khi mở vòng fructose để chuyển hóa thành dạng mạch hở?

Đáp án đúng là: D
Quảng cáo
Sự đóng vòng của fructose.
Đáp án cần chọn là: D
>> 2K9 Chú ý! Lộ Trình Sun 2027 - 1 lộ trình ôn đa kỳ thi (TN THPT, ĐGNL (Hà Nội/ Hồ Chí Minh), ĐGNL Sư Phạm, ĐGTD, ĐGNL Bộ Công an, ĐGNL Bộ Quốc phòngTD - Click xem ngay) tại Tuyensinh247.com. Cập nhật bám sát bộ SGK mới, Thầy Cô giáo giỏi, 3 bước chi tiết: Nền tảng lớp 12; Luyện thi chuyên sâu; Luyện đề đủ dạng đáp ứng mọi kì thi.
![]() |
![]() |
![]() |
![]() |
![]() |
![]() |
![]() |
![]() |
Hỗ trợ - Hướng dẫn
-
024.7300.7989
-
1800.6947
(Thời gian hỗ trợ từ 7h đến 22h)
Email: lienhe@tuyensinh247.com












