Albumin là một loại protein quan trọng trong huyết tương, giúp duy trì áp suất
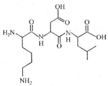
Albumin là một loại protein quan trọng trong huyết tương, giúp duy trì áp suất thẩm thấu, vận chuyển các hormone và vitamin trong máu. Thiếu hụt albumin có thể dẫn đến phù và rối loạn chuyển hoá. Thuỷ phân không hoàn toàn một đoạn phân tử albumin thu được tripeptide X mạch hở có công thức cấu tạo như sau:

| Đúng | Sai | |
|---|---|---|
| a) X có amino acid đầu N là lysine, đầu C là valine. | ||
| b) Trong môi trường kiềm, X không có phản ứng màu biuret. | ||
| c) X có chứa 3 liên kết peptide. | ||
| d) Có thể tách biệt được 3 amino acid tạo thành X bằng phương pháp điện di. |
Đáp án đúng là: S; S; S; Đ
Quảng cáo
Từ công thức cấu tạo của X, xác định
Đáp án cần chọn là: S; S; S; Đ
>> 2K9 Chú ý! Lộ Trình Sun 2027 - 1 lộ trình ôn đa kỳ thi (TN THPT, ĐGNL (Hà Nội/ Hồ Chí Minh), ĐGNL Sư Phạm, ĐGTD, ĐGNL Bộ Công an, ĐGNL Bộ Quốc phòngTD - Click xem ngay) tại Tuyensinh247.com. Cập nhật bám sát bộ SGK mới, Thầy Cô giáo giỏi, 3 bước chi tiết: Nền tảng lớp 12; Luyện thi chuyên sâu; Luyện đề đủ dạng đáp ứng mọi kì thi.
![]() |
![]() |
![]() |
![]() |
![]() |
![]() |
![]() |
![]() |
Hỗ trợ - Hướng dẫn
-
024.7300.7989
-
1800.6947
(Thời gian hỗ trợ từ 7h đến 22h)
Email: lienhe@tuyensinh247.com












