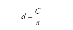
Cho các dụng cụ sau: - Một sợi chỉ dài 50 cm - Một chiếc thước kẻ có giới
Cho các dụng cụ sau:
- Một sợi chỉ dài 50 cm
- Một chiếc thước kẻ có giới hạn đo 50 cm
- Một ống nước.
Hãy tìm phương án đo đường kính của ống nước đó.
Quảng cáo
Sử dụng lý thuyết về đo chiều dài.
>> Học trực tuyến lớp 6 chương trình mới trên Tuyensinh247.com. Đầy đủ khoá học các bộ sách: Kết nối tri thức với cuộc sống; Chân trời sáng tạo; Cánh diều. Cam kết giúp học sinh lớp 6 học tốt, hoàn trả học phí nếu học không hiệu quả. PH/HS tham khảo chi tiết khoá học tại: Link
![]() |
![]() |
![]() |
![]() |
![]() |
![]() |
Hỗ trợ - Hướng dẫn
-
024.7300.7989
-
1800.6947
(Thời gian hỗ trợ từ 7h đến 22h)
Email: lienhe@tuyensinh247.com











