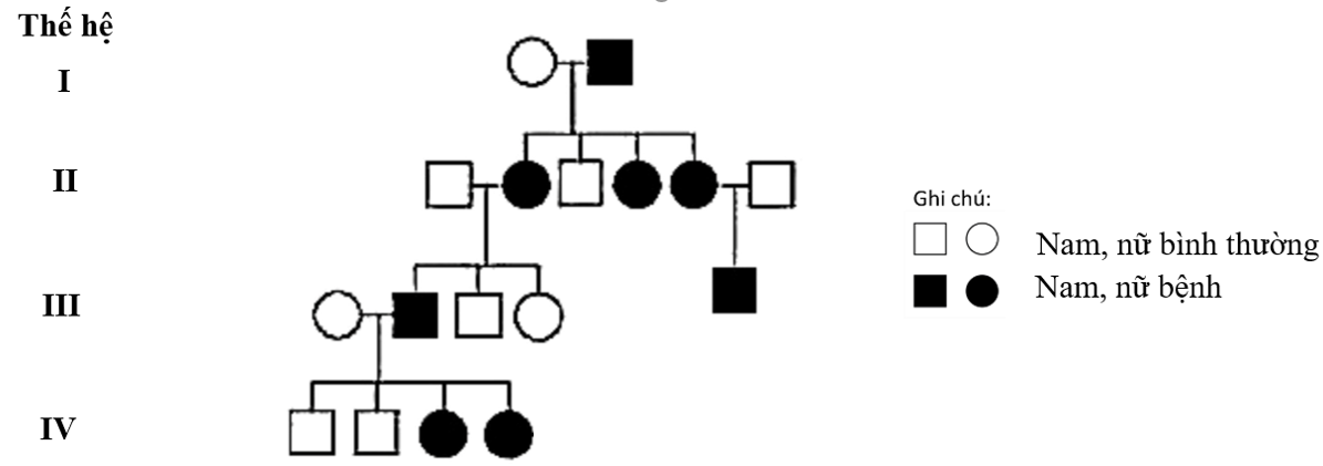
Phả hệ dưới đây biểu thị sự di truyền của một loại bệnh đục thủy tinh thể trong một
Phả hệ dưới đây biểu thị sự di truyền của một loại bệnh đục thủy tinh thể trong một gia đình. Bệnh này do một gene nằm trên nhiễm sắc thể X quy định.


Có bao nhiêu người trong phả hệ chắc chắc không mang allele bệnh?
Đáp án đúng là: A
Quảng cáo
dựa vào phả hệ xác định bệnh do gene trội hay lặn quy định và xác định kiểu gene của các cá thể
Đáp án cần chọn là: A
>> 2K9 Chú ý! Lộ Trình Sun 2027 - 1 lộ trình ôn đa kỳ thi (TN THPT, ĐGNL (Hà Nội/ Hồ Chí Minh), ĐGNL Sư Phạm, ĐGTD, ĐGNL Bộ Công an, ĐGNL Bộ Quốc phòngTD - Click xem ngay) tại Tuyensinh247.com. Cập nhật bám sát bộ SGK mới, Thầy Cô giáo giỏi, 3 bước chi tiết: Nền tảng lớp 12; Luyện thi chuyên sâu; Luyện đề đủ dạng đáp ứng mọi kì thi.
![]() |
![]() |
![]() |
![]() |
![]() |
![]() |
![]() |
![]() |
Hỗ trợ - Hướng dẫn
-
024.7300.7989
-
1800.6947
(Thời gian hỗ trợ từ 7h đến 22h)
Email: lienhe@tuyensinh247.com












