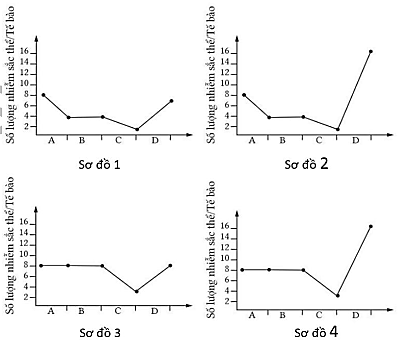
Một tế bào sinh dục sơ khai có bộ NST 2n=8 nguyên phân liên tiếp hai lần sau đó tiến hành giảm
Một tế bào sinh dục sơ khai có bộ NST 2n=8 nguyên phân liên tiếp hai lần sau đó tiến hành giảm phân. Tất cả các tế bào con tạo ra đều tham gia thụ tinh. Sơ đồ nào trong hình biểu thị sự thay đổi về số lượng NST trong mỗi tế bào phù hợp với từng thời điểm?
(Chú thích: A nguyên phân lần 1; B nguyên phân lần 2; C giảm phân; D thụ tinh tạo hợp tử)

Đáp án đúng là:
Quảng cáo
Phân tích các sơ đồ và cho biết các kết quả phù hợp
Đáp án cần điền là: 3
>> 2K9 Chú ý! Lộ Trình Sun 2027 - 1 lộ trình ôn đa kỳ thi (TN THPT, ĐGNL (Hà Nội/ Hồ Chí Minh), ĐGNL Sư Phạm, ĐGTD, ĐGNL Bộ Công an, ĐGNL Bộ Quốc phòngTD - Click xem ngay) tại Tuyensinh247.com. Cập nhật bám sát bộ SGK mới, Thầy Cô giáo giỏi, 3 bước chi tiết: Nền tảng lớp 12; Luyện thi chuyên sâu; Luyện đề đủ dạng đáp ứng mọi kì thi.
![]() |
![]() |
![]() |
![]() |
![]() |
![]() |
![]() |
![]() |
Hỗ trợ - Hướng dẫn
-
024.7300.7989
-
1800.6947
(Thời gian hỗ trợ từ 7h đến 22h)
Email: lienhe@tuyensinh247.com












