Dùng thông tin sau để trả lời 2 câu hỏi tiếp theo: Hình sau mô tả chu trình vật chất trong một
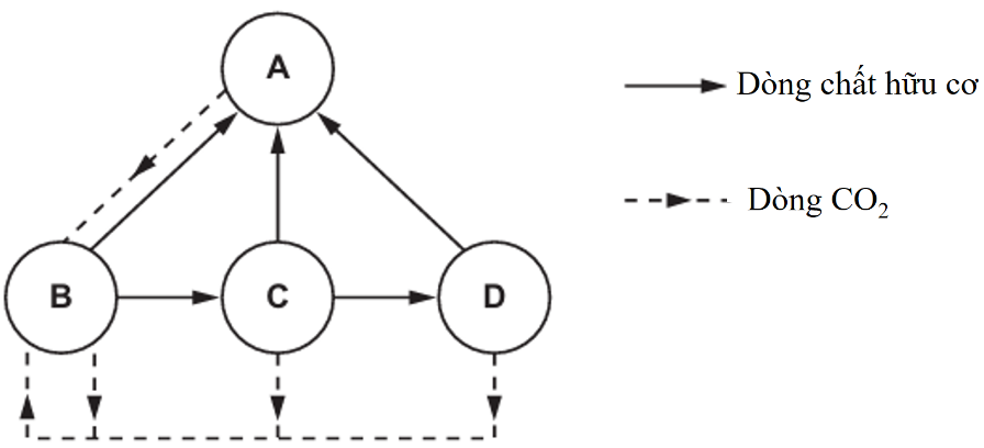
Dùng thông tin sau để trả lời 2 câu hỏi tiếp theo: Hình sau mô tả chu trình vật chất trong một hệ sinh thái trên cạn, trong đó A, B, C, D là các loài đại diện cho các mắc xích của lưới thức ăn.

Trả lời cho các câu 1, 2 dưới đây:
Mắt xích nào dưới đây chỉ đại diện cho động vật ăn thực vật?
Đáp án đúng là: D
Dựa vào chu trình vật chất trong hệ sinh thái.
Đáp án cần chọn là: D
Nếu bạn muốn giảm lượng CO₂ phát thải trong gia đình, biện pháp nào sau đây là hợp lý nhất?
Đáp án đúng là: A
Vận dụng kiến thức về quang hợp ở thực vật và các kiến thức thực tiễn.
Đáp án cần chọn là: A
Quảng cáo
>> 2K9 Chú ý! Lộ Trình Sun 2027 - 1 lộ trình ôn đa kỳ thi (TN THPT, ĐGNL (Hà Nội/ Hồ Chí Minh), ĐGNL Sư Phạm, ĐGTD, ĐGNL Bộ Công an, ĐGNL Bộ Quốc phòngTD - Click xem ngay) tại Tuyensinh247.com. Cập nhật bám sát bộ SGK mới, Thầy Cô giáo giỏi, 3 bước chi tiết: Nền tảng lớp 12; Luyện thi chuyên sâu; Luyện đề đủ dạng đáp ứng mọi kì thi.
![]() |
![]() |
![]() |
![]() |
![]() |
![]() |
![]() |
![]() |
Hỗ trợ - Hướng dẫn
-
024.7300.7989
-
1800.6947
(Thời gian hỗ trợ từ 7h đến 22h)
Email: lienhe@tuyensinh247.com












