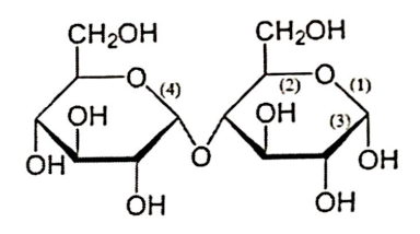
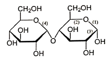
Đồng phân dạng mạch hở và dạng mạch vòng của maltose có thể chuyển hoá lẫn nhau. Liên kết
Đồng phân dạng mạch hở và dạng mạch vòng của maltose có thể chuyển hoá lẫn nhau. Liên kết nào trong số các liên kết được đánh số (1), (2), (3), (4) sẽ bị phá vỡ khi mở vòng để chuyển hoá dạng mạch vòng thành dạng mạch hở?

Đáp án đúng là: A
Quảng cáo
Đặc điểm cấu tạo và khả năng mở vòng maltose.
Đáp án cần chọn là: A
>> 2K9 Chú ý! Lộ Trình Sun 2027 - 1 lộ trình ôn đa kỳ thi (TN THPT, ĐGNL (Hà Nội/ Hồ Chí Minh), ĐGNL Sư Phạm, ĐGTD, ĐGNL Bộ Công an, ĐGNL Bộ Quốc phòngTD - Click xem ngay) tại Tuyensinh247.com. Cập nhật bám sát bộ SGK mới, Thầy Cô giáo giỏi, 3 bước chi tiết: Nền tảng lớp 12; Luyện thi chuyên sâu; Luyện đề đủ dạng đáp ứng mọi kì thi.
![]() |
![]() |
![]() |
![]() |
![]() |
![]() |
![]() |
![]() |
Hỗ trợ - Hướng dẫn
-
024.7300.7989
-
1800.6947
(Thời gian hỗ trợ từ 7h đến 22h)
Email: lienhe@tuyensinh247.com













