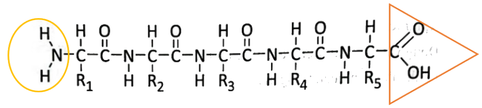
Cho peptide sau:a) Peptide này có bao nhiêu amino acid?b) Hãy đóng khung xung quanh các nguyên tử của
Cho peptide sau:

a) Peptide này có bao nhiêu amino acid?
b) Hãy đóng khung xung quanh các nguyên tử của từng liên kết peptide.
c) Hãy đánh dấu đầu có nhóm amino tự do bằng hình tròn và đầu có nhóm carboxyl tự do bằng hình tam giác.
Quảng cáo
- Xác định amino acid: Đếm số gốc amino acid (thường được đánh dấu bằng các nhóm bên R) trong chuỗi peptide.
- Xác định liên kết peptide: Nhận diện liên kết C−N hình thành giữa nhóm carboxyl của amino acid này và nhóm amino của amino acid kế tiếp (−CO−NH−).
- Xác định Đầu N và Đầu C: Nhận diện nhóm amino tự do (-NH) ở một đầu và nhóm carboxyl tự do (-COOH) ở đầu còn lại.
>> Học trực tuyến Lớp 10 cùng thầy cô giáo giỏi tại Tuyensinh247.com, (Xem ngay) Cam kết giúp học sinh học tốt, bứt phá điểm 9,10 chỉ sau 3 tháng, làm quen kiến thức, định hướng luyện thi TN THPT, ĐGNL, ĐGTD ngay từ lớp 10
![]() |
![]() |
![]() |
![]() |
![]() |
![]() |
![]() |
![]() |
Hỗ trợ - Hướng dẫn
-
024.7300.7989
-
1800.6947
(Thời gian hỗ trợ từ 7h đến 22h)
Email: lienhe@tuyensinh247.com














