Đặt một điện áp xoay chiều có tần số và giá trị hiệu dụng không đổi vào hai đầu đoạn
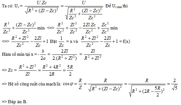
Đặt một điện áp xoay chiều có tần số và giá trị hiệu dụng không đổi vào hai đầu đoạn mạch R, L, C nối tiếp. Biết rằng ZL = 2R và tụ điện có điện dung thay đổi được. Điều chỉnh điện dung của tụ điện sao cho điện áp hiệu dụng hai đầu tụ đạt giá trị cực đại. Lúc đó hệ số công suất của mạch bằng
Đáp án đúng là: B
Quảng cáo
Đáp án cần chọn là: B
>> 2K9 Chú ý! Lộ Trình Sun 2027 - 1 lộ trình ôn đa kỳ thi (TN THPT, ĐGNL (Hà Nội/ Hồ Chí Minh), ĐGNL Sư Phạm, ĐGTD, ĐGNL Bộ Công an, ĐGNL Bộ Quốc phòngTD - Click xem ngay) tại Tuyensinh247.com. Cập nhật bám sát bộ SGK mới, Thầy Cô giáo giỏi, 3 bước chi tiết: Nền tảng lớp 12; Luyện thi chuyên sâu; Luyện đề đủ dạng đáp ứng mọi kì thi.
![]() |
![]() |
![]() |
![]() |
![]() |
![]() |
![]() |
![]() |
Hỗ trợ - Hướng dẫn
-
024.7300.7989
-
1800.6947
(Thời gian hỗ trợ từ 7h đến 22h)
Email: lienhe@tuyensinh247.com













