Cho đoạn mạch xoay chiều MN gồm hai đoạn mạch mắc nối tiếp: Đoạn MP gồm điện trở thuần
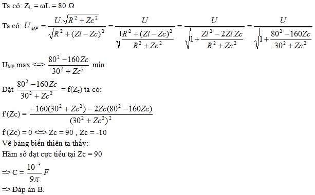
Cho đoạn mạch xoay chiều MN gồm hai đoạn mạch mắc nối tiếp: Đoạn MP gồm điện trở thuần R = 30 Ω mắc nối tiếp với tụ điện có điện dung C, đoạn PN chỉ có cuộn cảm thuần với độ tự cảm L = 0,8/π (H). Điện áp đặt vào hai đầu đoạn mạch có biểu thức u = U√2cos100πt (V).Để điện áp hiệu dụng UMP đạt cực đại thì điện dung của tụ bằng bao nhiêu?
Đáp án đúng là: B
Quảng cáo
Đáp án cần chọn là: B
>> 2K9 Chú ý! Lộ Trình Sun 2027 - 1 lộ trình ôn đa kỳ thi (TN THPT, ĐGNL (Hà Nội/ Hồ Chí Minh), ĐGNL Sư Phạm, ĐGTD, ĐGNL Bộ Công an, ĐGNL Bộ Quốc phòngTD - Click xem ngay) tại Tuyensinh247.com. Cập nhật bám sát bộ SGK mới, Thầy Cô giáo giỏi, 3 bước chi tiết: Nền tảng lớp 12; Luyện thi chuyên sâu; Luyện đề đủ dạng đáp ứng mọi kì thi.
![]() |
![]() |
![]() |
![]() |
![]() |
![]() |
![]() |
![]() |
Hỗ trợ - Hướng dẫn
-
024.7300.7989
-
1800.6947
(Thời gian hỗ trợ từ 7h đến 22h)
Email: lienhe@tuyensinh247.com













