Đặt điện áp u = U0cos100πt (V) (U0 không đổi) vào hai đầu đoạn mạch mắc nối tiếp theo thứ
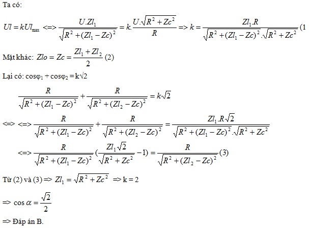
Đặt điện áp u = U0cos100πt (V) (U0 không đổi) vào hai đầu đoạn mạch mắc nối tiếp theo thứ tự gồm điện trở thuần R, tụ điện C và cuộn cảm thuần có độ tự cảm L thay đổi được. Khi L = L0 thì điện áp hiệu dụng giữa hai đầu cuộn cảm đạt cực đại là UL max. Khi L = L1 hoặc L = L2 thì điện áp hiệu dụng giữa hai đầu cuộn cảm có giá trị như nhau là UL = kUL max. Gọi cosφ1, cosφ2 và cosφα lần lượt là hệ số công suất của mạch khi độ tự cảm là L1, L2 và Lα. Biết rằng cosφ1 + cosφ2 = k√2. Giá trị của cosφα bằng
Đáp án đúng là: B
Quảng cáo
Đáp án cần chọn là: B
>> 2K9 Chú ý! Lộ Trình Sun 2027 - 1 lộ trình ôn đa kỳ thi (TN THPT, ĐGNL (Hà Nội/ Hồ Chí Minh), ĐGNL Sư Phạm, ĐGTD, ĐGNL Bộ Công an, ĐGNL Bộ Quốc phòngTD - Click xem ngay) tại Tuyensinh247.com. Cập nhật bám sát bộ SGK mới, Thầy Cô giáo giỏi, 3 bước chi tiết: Nền tảng lớp 12; Luyện thi chuyên sâu; Luyện đề đủ dạng đáp ứng mọi kì thi.
![]() |
![]() |
![]() |
![]() |
![]() |
![]() |
![]() |
![]() |
Hỗ trợ - Hướng dẫn
-
024.7300.7989
-
1800.6947
(Thời gian hỗ trợ từ 7h đến 22h)
Email: lienhe@tuyensinh247.com













