Lysine đóng vai trò chính trong quá trình tổng hợp protein, sản xuất
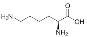
Lysine đóng vai trò chính trong quá trình tổng hợp protein, sản xuất hormone, enzyme và hấp thụ calcium. Ngoài ra, lysine còn giúp sản xuất năng lượng, hệ miễn dịch, collagen và elastin. Cho công thức khung của lysine như sau:

| Đúng | Sai | |
|---|---|---|
| a) Thành phần % theo khối lượng của hydrogen trong Lysine là 9,589%. | ||
| b) Lysine là chất có tính lưỡng tính. | ||
| c) Khi đặt dung dịch lysine được điều chỉnh đến pH = 6,0 trong điện trường thì lysine sẽ di chuyển về cực âm. Biết điểm đẳng điện (pI) của lysine có giá trị bằng 9,8. | ||
| d) 1 mol lysine tác dụng tối đa với 1 mol HCl trong dung dịch. |
Đáp án đúng là: Đ; Đ; Đ; S
Quảng cáo
a) Từ CTPT của glycine -> %H.
b) c) Tính acid, base của glycine.
d) Tính chất hóa học của glycine.
Đáp án cần chọn là: Đ; Đ; Đ; S
>> 2K9 Chú ý! Lộ Trình Sun 2027 - 1 lộ trình ôn đa kỳ thi (TN THPT, ĐGNL (Hà Nội/ Hồ Chí Minh), ĐGNL Sư Phạm, ĐGTD, ĐGNL Bộ Công an, ĐGNL Bộ Quốc phòngTD - Click xem ngay) tại Tuyensinh247.com. Cập nhật bám sát bộ SGK mới, Thầy Cô giáo giỏi, 3 bước chi tiết: Nền tảng lớp 12; Luyện thi chuyên sâu; Luyện đề đủ dạng đáp ứng mọi kì thi.
![]() |
![]() |
![]() |
![]() |
![]() |
![]() |
![]() |
![]() |
Hỗ trợ - Hướng dẫn
-
024.7300.7989
-
1800.6947
(Thời gian hỗ trợ từ 7h đến 22h)
Email: lienhe@tuyensinh247.com












