Vitamin A (retinol) rất cần thiết đối với sức khỏe con người: tăng miễn dịch, tăng sức đề
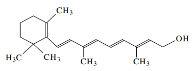
Vitamin A (retinol) rất cần thiết đối với sức khỏe con người: tăng miễn dịch, tăng sức đề kháng và tăng cường chức năng thị giác. Vitamin A là chất không tan trong nước, hòa tan tốt trong chất béo. Công thức của vitamin A như sau:


Cho các phát biểu sau về vitamin A:
| Đúng | Sai | |
|---|---|---|
| a) Công thức phân tử là C20H30O. | ||
| b) Hydrogen chiếm 11,72% khối lượng phân tử. | ||
| c) Một phân tử Vitamin A phản ứng với tối đa 5 phân tử Br2/CCl4 | ||
| d) Có 1 vòng và 4 liên kết π trong phân tử. |
Đáp án đúng là: Đ; S; Đ; S
Quảng cáo
a),b) Công thức cấu tạo đơn giản nhất ⟶ CTPT ⟶ %H
c) Alkene/alkyene phản ứng được với Br2/CCl4.
d) Đặc điểm liên kết trong hydrocarbon.
Đáp án cần chọn là: Đ; S; Đ; S
>> 2K9 Chú ý! Lộ Trình Sun 2027 - 1 lộ trình ôn đa kỳ thi (TN THPT, ĐGNL (Hà Nội/ Hồ Chí Minh), ĐGNL Sư Phạm, ĐGTD, ĐGNL Bộ Công an, ĐGNL Bộ Quốc phòngTD - Click xem ngay) tại Tuyensinh247.com. Cập nhật bám sát bộ SGK mới, Thầy Cô giáo giỏi, 3 bước chi tiết: Nền tảng lớp 12; Luyện thi chuyên sâu; Luyện đề đủ dạng đáp ứng mọi kì thi.
![]() |
![]() |
![]() |
![]() |
![]() |
![]() |
![]() |
![]() |
Hỗ trợ - Hướng dẫn
-
024.7300.7989
-
1800.6947
(Thời gian hỗ trợ từ 7h đến 22h)
Email: lienhe@tuyensinh247.com












