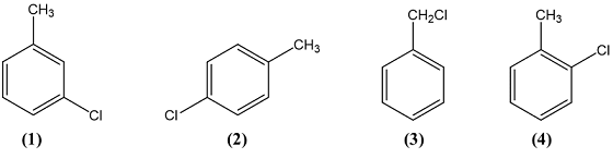
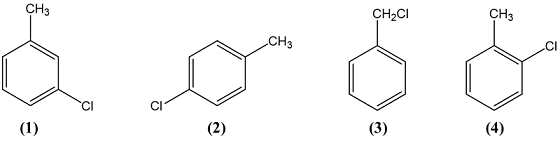
Cho các chất có công thức sau:Trong các chất trên, những chất là sản phẩm chính khi cho toluene
Cho các chất có công thức sau:

Trong các chất trên, những chất là sản phẩm chính khi cho toluene tác dụng với chlorine trong điều kiện đun nóng và có mặt FeCl3 là (Viết lần lượt STT các chất)
Đáp án đúng là:
Quảng cáo
Phương pháp tổng hợp dẫn xuất halogen.
Phản ứng thế hydrogen trong vòng benzene của toluene ưu tiên thế ở vị trí o-, p-.
Đáp án cần điền là: 24
>> 2K9 Chú ý! Lộ Trình Sun 2027 - 1 lộ trình ôn đa kỳ thi (TN THPT, ĐGNL (Hà Nội/ Hồ Chí Minh), ĐGNL Sư Phạm, ĐGTD, ĐGNL Bộ Công an, ĐGNL Bộ Quốc phòngTD - Click xem ngay) tại Tuyensinh247.com. Cập nhật bám sát bộ SGK mới, Thầy Cô giáo giỏi, 3 bước chi tiết: Nền tảng lớp 12; Luyện thi chuyên sâu; Luyện đề đủ dạng đáp ứng mọi kì thi.
![]() |
![]() |
![]() |
![]() |
![]() |
![]() |
![]() |
![]() |
Hỗ trợ - Hướng dẫn
-
024.7300.7989
-
1800.6947
(Thời gian hỗ trợ từ 7h đến 22h)
Email: lienhe@tuyensinh247.com












