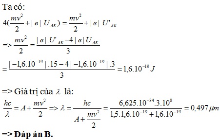
Ka tốt của tế bào quang điện có công thoát 1,5eV, được chiếu bởi bức xạ đơn sắc λ. Lần
Ka tốt của tế bào quang điện có công thoát 1,5eV, được chiếu bởi bức xạ đơn sắc λ. Lần lượt đặt vào tế bào điện áp
= 3V và
= 15V thì thấy vận tốc cực đại của electron khi đập vào anot tăng gấp đôi. Giá trị của λ là:
Đáp án đúng là: B
Quảng cáo
Đáp án cần chọn là: B
>> 2K9 Chú ý! Lộ Trình Sun 2027 - 1 lộ trình ôn đa kỳ thi (TN THPT, ĐGNL (Hà Nội/ Hồ Chí Minh), ĐGNL Sư Phạm, ĐGTD, ĐGNL Bộ Công an, ĐGNL Bộ Quốc phòngTD - Click xem ngay) tại Tuyensinh247.com. Cập nhật bám sát bộ SGK mới, Thầy Cô giáo giỏi, 3 bước chi tiết: Nền tảng lớp 12; Luyện thi chuyên sâu; Luyện đề đủ dạng đáp ứng mọi kì thi.
![]() |
![]() |
![]() |
![]() |
![]() |
![]() |
![]() |
![]() |
Hỗ trợ - Hướng dẫn
-
024.7300.7989
-
1800.6947
(Thời gian hỗ trợ từ 7h đến 22h)
Email: lienhe@tuyensinh247.com













