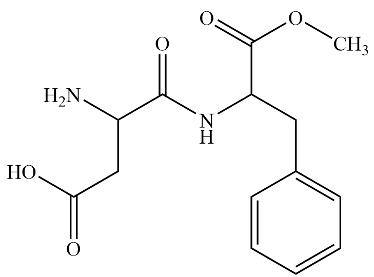
Sự kết hợp giữa aspartic acid và phenylalanine tạo thành peptide, peptide này có
Sự kết hợp giữa aspartic acid và phenylalanine tạo thành peptide, peptide này có thể được chuyển đổi thành methyl ester gọi là aspartame (như hình dưới).

Aspartame có vị ngọt nên được sử dụng trong thực phẩm không đường dành cho người bị tiểu đường. Ở nhiệt độ cao aspartame bị phân hủy tạo các amino acid tự do không có vị ngọt. Viết công thức cấu tạo phù hợp các amino acid aspartic acid và phenylalanine.
Quảng cáo
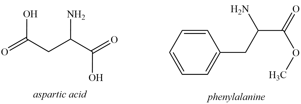
Dựa vào công thức cấu tạo của aspartic acid, phenylalanine và aspartame.
>> 2K8 Chú ý! Lộ Trình Sun 2026 - 3IN1 - 1 lộ trình ôn 3 kì thi (Luyện thi 26+ TN THPT, 90+ ĐGNL HN, 900+ ĐGNL HCM, 70+ ĐGTD - Click xem ngay) tại Tuyensinh247.com.Đầy đủ theo 3 đầu sách, Thầy Cô giáo giỏi, luyện thi theo 3 giai đoạn: Nền tảng lớp 12, Luyện thi chuyên sâu, Luyện đề đủ dạng đáp ứng mọi kì thi.
![]() |
![]() |
![]() |
![]() |
![]() |
![]() |
![]() |
![]() |
Hỗ trợ - Hướng dẫn
-
024.7300.7989
-
1800.6947
(Thời gian hỗ trợ từ 7h đến 22h)
Email: lienhe@tuyensinh247.com













