4.1. Một đoạn dây sắt, đồng nối với nhau để ngoài trời một thời gian dài
4.1. Một đoạn dây sắt, đồng nối với nhau để ngoài trời một thời gian dài bị han gỉ tạo hỗn hợp X có thành phần gồm Fe, Fe3O4, FeCO3, Cu, Cu(OH)2. Chia 13,76 gam X thành 2 phần bằng nhau. Thực hiện các thí nghiệm:
- Cho phần 1 tác dụng với lượng dư dung dịch HCl loãng thu dược 1,568 lít hỗn hợp khí Y gồm 2 khí có tỉ khối hơi so với metan bằng 0,5 và dung dịch Z. Cho lượng dư dung dịch NaOH vào dung dịch Z, lọc lấy kết tủa nung đến khối lượng không đổi thu được 7,2 gam chất rắn.
- Hòa tan phần 2 trong lượng vừa đủ, tối đa 0,19 mol H2SO4 đặc, nóng thu được 1,792 lít khí T gồm 2 khí (trong đó có SO2) dung dịch thu được chỉ chứa muối trung hòa.
Xác định phần trăm theo khối lượng của Cu(OH)2 trong X.
4.2. Hòa tan hết 4,99 gam hỗn hợp gồm Na, Na2O, Ba và BaO vào nước thu được 336 mL khí H2 và dung dịch X. Hấp thụ hoàn toàn V lít khí CO2 vào X thu được dung dịch Y và 3,94 gam kết tủa Z. Cho rất từ từ đến hết Y vào dung dịch chứa 0,007 mol H2SO4 chỉ thu được dung dịch T và thoát ra 224 mL khí CO2. Thêm tiếp lượng dư dung dịch BaCl2 vào T thu được m gam kết tủa. Tính giá trị của V và m.
Quảng cáo
4.1.
Phần 1.
Fe + 2HCl ⟶ FeCl2 + H2
FeCO3 + 2HCl ⟶ FeCl2 + CO2 + H2O
Fe3O4 + 8HCl ⟶ FeCl2 + 2FeCl3 + 4H2O
Cu + 2FeCl3 ⟶ 2FeCl2 + CuCl2
Cu(OH)2 + 2HCl ⟶ CuCl2 + 2H2O
Hỗn hợp khí gồm H2, CO2
Dung dịch Z: FeCl2, FeCl3, CuCl2

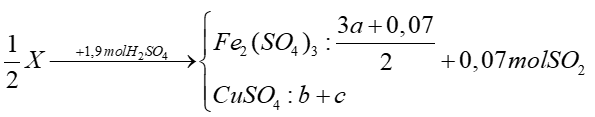
Phần 2: Đặt trong ½ hỗn hợp X (6,88 gam)

Lập hệ phương trình tìm ẩn
4.2.

Dung dịch Y + H2SO4 ⟶ Không xuất hiện kết tủa
⟹ Dung dịch Y không có Ba2+ ⟹ b
$\left. \left\{ \begin{array}{l} {m_{hh} = 4,99} \\ {BTe} \end{array} \right.\Rightarrow\left\{ \begin{array}{l} a \\ c \end{array} \right. \right.$
Dung dịch X: $\left\{ \begin{array}{l} {NaHCO_{3}:x} \\ {Na_{2}CO_{3}:y} \end{array} \right.\overset{H_{2}SO_{4}}{\rightarrow}(x + y)CO_{2}$
Lập hệ phương trình tìm tỉ lệ x:y
BTNT(C): nCO2
Xác định thành phần kết tủa
>> Học trực tuyến lớp 9 và Lộ trình UP10 trên Tuyensinh247.com Đầy đủ khoá học các bộ sách: Kết nối tri thức với cuộc sống; Chân trời sáng tạo; Cánh diều. Lộ trình học tập 3 giai đoạn: Học nền tảng lớp 9, Ôn thi vào lớp 10, Luyện Đề. Bứt phá điểm lớp 9, thi vào lớp 10 kết quả cao. Hoàn trả học phí nếu học không hiệu quả. PH/HS tham khảo chi tiết khoá học tại: Link
![]() |
![]() |
![]() |
![]() |
![]() |
![]() |
Hỗ trợ - Hướng dẫn
-
024.7300.7989
-
1800.6947
(Thời gian hỗ trợ từ 7h đến 22h)
Email: lienhe@tuyensinh247.com














