Đoạn mạch xoay chiều gồm cuộn dây có điện trở thuần R , độ tự cảm L mắc nối tiếp với
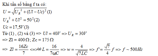
Đoạn mạch xoay chiều gồm cuộn dây có điện trở thuần R , độ tự cảm L mắc nối tiếp với tụ điện có dung điện dung C. Điện áp đặt vào hai đầu mạch có tần số f và giá trị hiệu dụng 37,5 V. Khi đố dòng điện qua mạch có cường độ hiệu dụng I = 0,1A ; điện áp hiệu dụng giữa hai đầu cuộn dây là 50V, giữa hai bản cực tụ điện là 17,5V. Nếu cho tần số f thay đổi đến giá trị f’ = 330 Hz thì cường độ dòng điện hiệu dụng đạt giá trị cực đại .Tân số f có giá trị
Đáp án đúng là: B
Quảng cáo
Đáp án cần chọn là: B
>> 2K9 Chú ý! Lộ Trình Sun 2027 - 1 lộ trình ôn đa kỳ thi (TN THPT, ĐGNL (Hà Nội/ Hồ Chí Minh), ĐGNL Sư Phạm, ĐGTD, ĐGNL Bộ Công an, ĐGNL Bộ Quốc phòngTD - Click xem ngay) tại Tuyensinh247.com. Cập nhật bám sát bộ SGK mới, Thầy Cô giáo giỏi, 3 bước chi tiết: Nền tảng lớp 12; Luyện thi chuyên sâu; Luyện đề đủ dạng đáp ứng mọi kì thi.
![]() |
![]() |
![]() |
![]() |
![]() |
![]() |
![]() |
![]() |
Hỗ trợ - Hướng dẫn
-
024.7300.7989
-
1800.6947
(Thời gian hỗ trợ từ 7h đến 22h)
Email: lienhe@tuyensinh247.com













