Tel: 024.7300.7989 - Phone: 1800.6947 (Thời gian hỗ trợ từ 7h đến 22h)

Thi thử toàn quốc TN THPT và ĐGNL Hà Nội Ngày 11-12/04/2026
↪ TN THPT - Trạm 5 (Free) ↪ ĐGNL Hà Nội (HSA) - Trạm 5
Giỏ hàng của tôi

Bất đẳng thức - Bất phương trình

Câu hỏi số 84690:
Vận dụng

Quảng cáo

Câu hỏi:84690
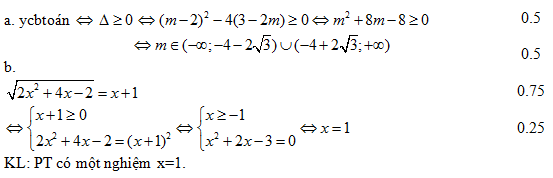
Giải chi tiết

Tham Gia Group Dành Cho 2K9 Chia Sẻ, Trao Đổi Tài Liệu Miễn Phí

>> Học trực tuyến Lớp 10 cùng thầy cô giáo giỏi tại Tuyensinh247.com, (Xem ngay) Cam kết giúp học sinh học tốt, bứt phá điểm 9,10 chỉ sau 3 tháng, làm quen kiến thức, định hướng luyện thi TN THPT, ĐGNL, ĐGTD ngay từ lớp 10

Hỗ trợ - Hướng dẫn

  • 024.7300.7989
  • 1800.6947 free

(Thời gian hỗ trợ từ 7h đến 22h)
Email: lienhe@tuyensinh247.com