Từ tinh dầu quế, người ta tách được hợp chất cinnamaldehyde có mùi thơm đặc trưng tồn tại
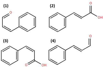
Từ tinh dầu quế, người ta tách được hợp chất cinnamaldehyde có mùi thơm đặc trưng tồn tại dạng trans. Cinnamaldehyde có phản ứng với thuốc thử Tollens, làm mất màu dung dịch Br2/CCl4, khi bị oxi hoá bằng dung dịch KMnO4/H2SO4 đun nóng thu được benzoic acid. Cho các cấu tạo sau.

Công thức của cinnamaldehyde là?
Đáp án đúng là: 4
Quảng cáo
Đồng phân hình học cis, trans, tính chất hóa học của aldehyde.
Đáp án cần điền là: 4
>> 2K9 Chú ý! Lộ Trình Sun 2027 - 1 lộ trình ôn đa kỳ thi (TN THPT, ĐGNL (Hà Nội/ Hồ Chí Minh), ĐGNL Sư Phạm, ĐGTD, ĐGNL Bộ Công an, ĐGNL Bộ Quốc phòngTD - Click xem ngay) tại Tuyensinh247.com. Cập nhật bám sát bộ SGK mới, Thầy Cô giáo giỏi, 3 bước chi tiết: Nền tảng lớp 12; Luyện thi chuyên sâu; Luyện đề đủ dạng đáp ứng mọi kì thi.
![]() |
![]() |
![]() |
![]() |
![]() |
![]() |
![]() |
![]() |
Hỗ trợ - Hướng dẫn
-
024.7300.7989
-
1800.6947
(Thời gian hỗ trợ từ 7h đến 22h)
Email: lienhe@tuyensinh247.com












