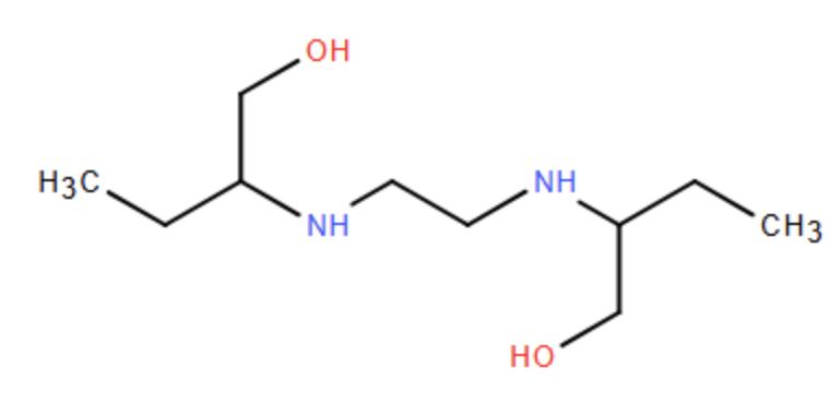
Ethambutol (có công thức cấu tạo như hình bên dưới) là một loại thuốc kháng sinh, có tác dụng
Ethambutol (có công thức cấu tạo như hình bên dưới) là một loại thuốc kháng sinh, có tác dụng trong điều trị các bệnh nhiễm trùng do vi khuẩn. Ethambutol thường được sử dụng kết hợp với các loại thuốc khác để điều trị bệnh lao.

Cho các phát biểu sau:
(1) Ethambutol được cấu tạo từ mười nguyên tử carbon.
(2) Ethambutol có hai chức amine, trong đó một nhóm bậc 1 và một nhóm bậc 2.
(3) Ethambutol có phản ứng với NaOH theo tỉ lệ mol tương ứng là 1 : 2.
(4) Ethambutol có phản ứng với CuO nung nóng cho sản phẩm có chứa hai nhóm chức aldelhyde.
(5) Ethambutol là hợp chất hữu cơ tạp chức.
Sắp xếp các phát biểu đúng trong các phát biểu trên theo thứ tự tăng dần.
(Ví dụ phát biểu đúng là (1), (2), (3), (4) thì điền đáp án 1234)
Đáp án đúng là: 145
Quảng cáo
Đặc điểm cấu tạo, tính chất hoá học của amine.
Đáp án cần điền là: 145
>> 2K9 Chú ý! Lộ Trình Sun 2027 - 1 lộ trình ôn đa kỳ thi (TN THPT, ĐGNL (Hà Nội/ Hồ Chí Minh), ĐGNL Sư Phạm, ĐGTD, ĐGNL Bộ Công an, ĐGNL Bộ Quốc phòngTD - Click xem ngay) tại Tuyensinh247.com. Cập nhật bám sát bộ SGK mới, Thầy Cô giáo giỏi, 3 bước chi tiết: Nền tảng lớp 12; Luyện thi chuyên sâu; Luyện đề đủ dạng đáp ứng mọi kì thi.
![]() |
![]() |
![]() |
![]() |
![]() |
![]() |
![]() |
![]() |
Hỗ trợ - Hướng dẫn
-
024.7300.7989
-
1800.6947
(Thời gian hỗ trợ từ 7h đến 22h)
Email: lienhe@tuyensinh247.com












