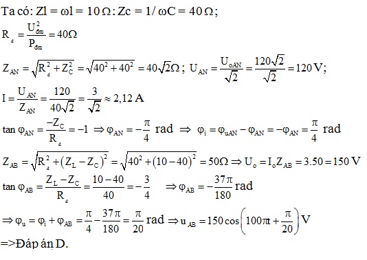
Cho mạch điện AN chứa bóng đèn sợi đốt nối với tụ C,NB chứa cuộn dây L. Biết L = , và
Cho mạch điện AN chứa bóng đèn sợi đốt nối với tụ C,NB chứa cuộn dây L. Biết L =
, và đèn ghi (40V- 40W). Đặt vào 2 điểm A và N một điện áp
. Các dụng cụ đo không làm ảnh hưởng đến mạch điện. Biểu thức cường điện áp toàn mạch là:
Đáp án đúng là: D
Quảng cáo
Đáp án cần chọn là: D
>> 2K9 Chú ý! Lộ Trình Sun 2027 - 1 lộ trình ôn đa kỳ thi (TN THPT, ĐGNL (Hà Nội/ Hồ Chí Minh), ĐGNL Sư Phạm, ĐGTD, ĐGNL Bộ Công an, ĐGNL Bộ Quốc phòngTD - Click xem ngay) tại Tuyensinh247.com. Cập nhật bám sát bộ SGK mới, Thầy Cô giáo giỏi, 3 bước chi tiết: Nền tảng lớp 12; Luyện thi chuyên sâu; Luyện đề đủ dạng đáp ứng mọi kì thi.
![]() |
![]() |
![]() |
![]() |
![]() |
![]() |
![]() |
![]() |
Hỗ trợ - Hướng dẫn
-
024.7300.7989
-
1800.6947
(Thời gian hỗ trợ từ 7h đến 22h)
Email: lienhe@tuyensinh247.com













