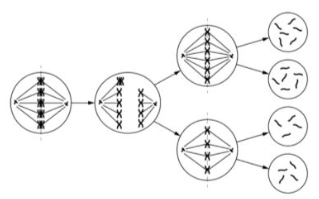
Rối loạn phân li trong giảm phân có thể làm ảnh hưởng đến quá trình tạo giao tử. Sơ đồ
Rối loạn phân li trong giảm phân có thể làm ảnh hưởng đến quá trình tạo giao tử. Sơ đồ bên mô tả một trường hợp rối loạn có thể xảy ra trong giảm phân và hậu quả của nó đối với số lượng các nhiễm sắc thể trong giao tử. Biết rằng ngoài rối loạn được mô tả trong sơ đồ, quá trình hình thành giao tử này không xảy ra trao đổi chéo, không phát sinh đột biến khác.

| Đúng | Sai | |
|---|---|---|
| a) Sơ đồ trên minh họa hiện tượng rối loạn phân ly xảy ra ở giảm phân I. | ||
| b) Tế bào ban đầu có bộ nhiễm sắc thể lưỡng bội 2n = 10. | ||
| c) Nếu tế bào ban đầu có kiểu gene Aa thì có thể tạo ra giao tử đột biến AA và aa. | ||
| d) Nếu tế bào ban đầu là tế bào sinh trứng thì chỉ có thể tạo ra tối đa một loại trứng. |
Đáp án đúng là: Đ; Đ; S; S
Quảng cáo
Phân tích hình ảnh các tế bào qua các kì giảm phân.
Đáp án cần chọn là: Đ; Đ; S; S
>> 2K9 Chú ý! Lộ Trình Sun 2027 - 1 lộ trình ôn đa kỳ thi (TN THPT, ĐGNL (Hà Nội/ Hồ Chí Minh), ĐGNL Sư Phạm, ĐGTD, ĐGNL Bộ Công an, ĐGNL Bộ Quốc phòngTD - Click xem ngay) tại Tuyensinh247.com. Cập nhật bám sát bộ SGK mới, Thầy Cô giáo giỏi, 3 bước chi tiết: Nền tảng lớp 12; Luyện thi chuyên sâu; Luyện đề đủ dạng đáp ứng mọi kì thi.
![]() |
![]() |
![]() |
![]() |
![]() |
![]() |
![]() |
![]() |
Hỗ trợ - Hướng dẫn
-
024.7300.7989
-
1800.6947
(Thời gian hỗ trợ từ 7h đến 22h)
Email: lienhe@tuyensinh247.com












